1answer.
Ask question
Login Signup
Ask question
All categories
  • English
  • Mathematics
  • Social Studies
  • Business
  • History
  • Health
  • Geography
  • Biology
  • Physics
  • Chemistry
  • Computers and Technology
  • Arts
  • World Languages
  • Spanish
  • French
  • German
  • Advanced Placement (AP)
  • SAT
  • Medicine
  • Law
  • Engineering
Nastasia [14]
3 years ago
13

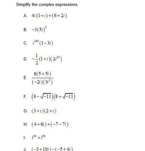
1. You find that of your simplified responses to A through E match to a simplified response among F through J. List the matches

by letter and write what the simplified response is to each matched pair.
Answer:
2. Determine the modulus of each of the complex numbers in the matching pairs. List these moduli in order from smallest to largest. Use the letters of the matching pair in your listing.
Answer:
3. Suppose m = 2 + 6i, and║m+n║= 3√10 , where n is a complex number.
a. What is the minimum value of the modulus of n?
b. Provide one example of the complex number, n.

Mathematics
2 answers:
pogonyaev3 years ago
8 0

Answer:

F.(8-√-11)(8+√-11)

8²-11²i²

8²-121×-1

64+121

=185

G.

(3+i)(2+i)

6+3i+2i+i²

6-1+5i

5+5i

H.

(4+6i)+(-7-7i)

5+6i-7-7i

-2-i

i.

i^24

(i^2)^12

=1

J.

(-3+10i)-(-5+4i)

-3+10i+5-4i

2+6i.

Leokris [45]3 years ago
4 0

I don't know what I'm missing on here cause none of my answers match those in F through J

A. 6i + 2

B. 75

C. -3-i

D. 1+1i

E. 5+5i

You might be interested in
Please answer this correctly
Gwar [14]

Answer:

Step-by-step explanation:

the answer is 4/5

Because there are 5 section and the blueberry takes up 4 of the sections it is 4/5

7 0
4 years ago
Read 2 more answers
Which best explains why the orthocenter of an obtuse triangle is outside the triangle?
Nezavi [6.7K]

Answer: All three of the altitudes lie entirely outside the triangle.

Step-by-step explanation:

The orthocenter is the center of the triangle formed by creating all the altitudes of each side.  

The altitude of a triangle is formed by creating a line from each vertex that is perpendicular to the opposite side.  

In acute traingle , the orthocenter lies inside it.

In right angled triangle, the orthocenter lies on the triangle.

In obtuse triangle , the orthocenter lies outside the triangle because all the three altitudes meet outside .

So, the best explains why the orthocenter of an obtuse triangle is outside the triangle : All three of the altitudes lie entirely outside the triangle.

6 0
3 years ago
Can the sides of a triangle have lengths 3, 16, and 19?
Eduardwww [97]

The answer is no. The Triangle Inequality Theorem states that the sum of the lengths of any two sides of a triangle must be greater than the length of the third.

8 0
3 years ago
Read 2 more answers
If the expression 3x+10 is equal to 6 for some value of x, then what is the value of 3x+2 equal to for the same value of x ?
Murrr4er [49]

Answer:

149

Step-by-step explanation:

If the expression 3x+10 is equal to 6 for some value of x, then what is the value of 3x+2 equal to for the same value of x ?

8 0
3 years ago
GEOMETRY :The perimeter of a regular hexagon is at most 42 inches. Find the possible side lengths of the hexagon.
Eva8 [605]
42÷6=7 42=Perimeter 6=Sides 7=Possible lengths of the hexagon.
8 0
4 years ago
Other questions:
  • Hey can you please help me posted picture of question
    12·1 answer
  • Explain how you can prove RST is congruent to UVW by asa
    11·1 answer
  • What is the equation of the line through (3,-1), (4,7)
    5·1 answer
  • Find the slope of the line passing through the points (8,-4) and (4, -8).
    14·2 answers
  • Find the value of x. <br> Please show the work and explain! thank you
    13·1 answer
  • The owner of a garden center pays $12 for each birdbath. She sells them for 55% more than she paid.
    5·2 answers
  • Does anyone know the answer to this?​
    13·2 answers
  • Need help in 31 and 33 thanks need ASAP
    8·1 answer
  • Find the total of thirty-two, eighteen and fifteen.
    10·2 answers
  • What is the solution for the equation startfraction 5 over 3 b cubed minus 2 b squared minus 5 endfraction = startfraction 2 ove
    13·2 answers
Add answer
Login
Not registered? Fast signup
Signup
Login Signup
Ask question!