1answer.
Ask question
Login Signup
Ask question
All categories
  • English
  • Mathematics
  • Social Studies
  • Business
  • History
  • Health
  • Geography
  • Biology
  • Physics
  • Chemistry
  • Computers and Technology
  • Arts
  • World Languages
  • Spanish
  • French
  • German
  • Advanced Placement (AP)
  • SAT
  • Medicine
  • Law
  • Engineering
Mariulka [41]
3 years ago
8

Please answer with explanation

Mathematics
1 answer:
nalin [4]3 years ago
3 0

Answer:

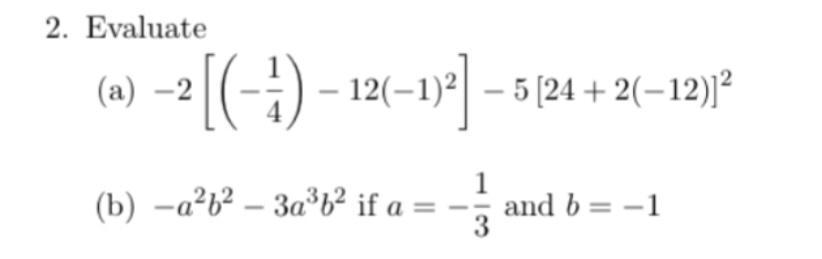
(a)- 2 [ ( - \frac { 1 } { 4 } ) - 12 ( - 1 ) ^ { 2 } ] - 5 [ 24 + 2 ( - 12 ) ] ^ { 2 }−2[(−

4

1

)−12(−1)

2

]−5[24+2(−12)]

2

Do the arithmetic.

Calculate -1−1 to the power of 22 and get 11.

-2\left(-\frac{1}{4}-12\right)-5\left(24+2\left(-12\right)\right)^{2}−2(−

4

1

−12)−5(24+2(−12))

2

Subtract one term from another.

Subtract 1212 from -\frac{1}{4}−

4

1

to get -\frac{49}{4}−

4

49

.

-2\left(-\frac{49}{4}\right)-5\left(24+2\left(-12\right)\right)^{2}−2(−

4

49

)−5(24+2(−12))

2

Multiply two factors together.

Multiply -2−2 and -\frac{49}{4}−

4

49

to get \frac{49}{2}

2

49

.

\frac{49}{2}-5\left(24+2\left(-12\right)\right)^{2}

2

49

−5(24+2(−12))

2

Multiply two factors together.

Multiply 22 and -12−12 to get -24−24.

\frac{49}{2}-5\left(24-24\right)^{2}

2

49

−5(24−24)

2

Subtract one term from another.

Subtract 2424 from 2424 to get 00.

\frac{49}{2}-5\times 0^{2}

2

49

−5×0

2

Multiply two factors together.

Multiply 55 and 00 to get 00.

\frac{49}{2}-0

2

49

−0

Add two terms together.

Subtract 00 from \frac{49}{2}

2

49

to get \frac{49}{2}

2

49

.

\frac{49}{2}

2

49

2

49

=24.5

(b)−a

2

b

2

−3a

3

b

2

a=−

3

1

b=−1

Step-by-step explanation:

Hope it helps u

FOLLOW MY ACCOUNT PLS PLS

You might be interested in
It is known that x1 and x2 are roots of the equation x2−8x+k=0, where 3x1+4x2=29. find k.
zysi [14]

Answer:

k = 15

Step-by-step explanation:

∵ x² - 8x + k = 0 ⇒ has two roots x1 and x2

∵ ax² + bx + c = 0 has two roots

∴ The sum of roots = -b/a and the product of them = c/a

∵ a = 1 , b = -8 and c = k

∴ x1 + x2 = -(-8)/1 = 8

∴ x1 + x2 = 8 ⇒ (1)

∵ 3x1 + 4x2 = 29 ⇒ (2)

Multiply (1) by -4

∴ -4x1 - 4x2 = -32 ⇒ (3)

Add (2) and (3)

∴ -x1 = -3

∴ x1 = 3

By substituting value of x1 in (1)

∴ 3 + x2 = 8

∴ x2 = 5

∴ The roots are 3 and 5

∴ c/a = 3 × 5 = 15 ⇒ (a = 1)

∴ c = 15

∴ k = 15

4 0
3 years ago
Look at image worth 20 pointd help!!
Alecsey [184]

Answer:

y=-\frac{9}{7}x-2

Step-by-step explanation:

Here, we have to convert the equation to slope-intercept form so we can find the perpendicular slope:

7x-9y=-5

-9y=-5-7x

y=-\frac{5}{9}+\frac{7}{9}x

y=\frac{7}{9}x-\frac{5}{9}

Since our slope is m=\frac{7}{9}, then that means the slope perpendicular to it is m=-\frac{9}{7}.

Now we find our new y-intercept so that the line will pass through the point (-7,7):

y=mx+b

y=-\frac{9}{7}+b

7=-\frac{9}{7}(-7)+b

7=9+b

-2=b

Therefore, the equation of the new line is y=-\frac{9}{7}x-2

7 0
3 years ago
Im having trouble on my math hw mind helping me out ?<br>16+a&lt;4?
Margarita [4]

Answer:

a < -12

Step-by-step explanation:

Move all terms not containing  

a

to the right side of the inequality.

a  <  − 12

<3 Hope this helped

4 0
3 years ago
PLZZZ I NEED HELP IM ON A TIMER AND I WILL GIVE BRAINLIEST!! :)
ollegr [7]

Answer:

21.25

Step-by-step explanation:

4 0
3 years ago
Read 2 more answers
Ms. Harshey rewards students with a piece of chocolate (approximately 60 calories) for every day that they had in an assignment.
ValentinkaMS [17]
That is the math I did.

7 0
4 years ago
Other questions:
  • Ok i need a real math expert to help me with 1,2,or3 questions consider it a challenge diet one to answer gets thanked and is ma
    9·1 answer
  • 19<br> 8<br> + <br> 5<br> 8<br> I need help on this fraction equation plz
    7·2 answers
  • The with?<br> The length? Please
    7·1 answer
  • Which equation represents a line that is parallel to the line with equation y=-3x+4
    12·1 answer
  • X, Y and Z form the vertices of a triangle, where ∠ YXZ = 68°, XY = 7.3m and XZ = 8.3m. Calculate the area of the triangle. Roun
    6·1 answer
  • What is the slope of this line? please explain because it is confusing if I only got the number of the slope:)
    8·1 answer
  • How many repeating digits does the number 0.1515 have<br>​
    5·2 answers
  • In the graph above, what's the distance between (-1,-4) and (-1,5)?
    12·1 answer
  • What is 15 plus 27? comon people, i need this answer fast, Linda this question is for u, so we can talk... ok
    5·1 answer
  • 2(1-3n)+5=-4(2n+1)<br> This is a question from algebra 2.
    11·2 answers
Add answer
Login
Not registered? Fast signup
Signup
Login Signup
Ask question!