Answer:
94.2 cm
Step-by-step explanation:
Circumference is the diameter x pi. Multiple 30 x 3.14
Answer:
$493.75
Step-by-step explanation:
- 25 × 19.75 = $493.75
I hope this helps!
Answer:
8y+3z
Step-by-step explanation:
We cannot add anything together because these are not like terms
8y is apples and 3z is bananas
The are not the same
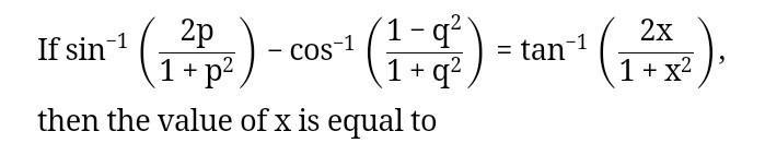
Step-by-step explanation:
p-p /pq+1
sin
−1
(
1+p
2
2p
Answer:
Total Area = 24830.437
Step-by-step explanation:
This will be using different AREA formula to find the inner area amount
The image is color coded to each shape area
Let me know if you have any questions !
Hope this helps :)