1answer.
Ask question
Login Signup
Ask question
All categories
  • English
  • Mathematics
  • Social Studies
  • Business
  • History
  • Health
  • Geography
  • Biology
  • Physics
  • Chemistry
  • Computers and Technology
  • Arts
  • World Languages
  • Spanish
  • French
  • German
  • Advanced Placement (AP)
  • SAT
  • Medicine
  • Law
  • Engineering
baherus [9]
3 years ago
6

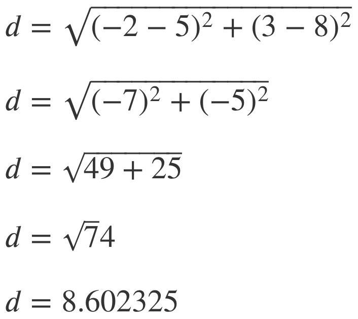
Plz help with this problem

Mathematics
2 answers:
Lunna [17]3 years ago
4 0
D = 8.6

hope this helps :)

Over [174]3 years ago
3 0

Answer:

8.6

Step-by-step explanation:

omni cal.cu.lator

Hope this helps

BRAINLIEST PLEASE

You might be interested in
6. Three bunches of flowers can be bought for $9.48. Four bunches can be bought for $10.64. Which is the better buy?​
lawyer [7]
The better buy would be four bunches for $10.66 because each bunch of flowers would be $2.66 compared to $3.16 per bunch.
5 0
3 years ago
The perimeter of a standard basketball court is 288 ft. Find the dimensions of the basket ball court if its length is 44 longer
Vinil7 [7]

Answer:

w = 50, l = 94

Step-by-step explanation:

l = w + 44, to find perimeter we need 2l + 2w = 288 and we know l so substitute 2(w+44) + 2w = 288, so 2w + 88 + 2w = 288 so 4w = 200, therefore w = 50

8 0
3 years ago
A store sells televisions for $360 and DVD burners for $270. The entire stock is worth $52,920 and there are a total of 164 tele
bogdanovich [222]

Answer:  96 Televisions, 68 DVD burners

<u>Step-by-step explanation:</u>

Let T represent the quantity of televisions

Let D represent the quantity of DVD burners

<u>Given:</u>

value of television (T) = 360

value of DVD burners (D) = 270

Total value = 52,920

<u>Equations:</u>

Value: 360T + 270D = 52,920

Quantity:   T + D = 164

We can solve the system of equations using the Elimination Method:

-1(360T + 270D = 52,920) →  -360T - 270D = -52,920

  360(T + D = 164) →                <u>360T + 360D</u> = <u>59,040 </u>

                                                                90D = 6,120

                                                              <u> ÷90   </u>  <u> ÷90    </u>

                                                                     D = 68

Input the value of D into one of the equations to solve for T

T + D = 164

T + 68 = 164

      T   = 96

6 0
3 years ago
12 red markers to 12 blue markers
yanalaym [24]
12 red marked to 12 blue markers is 144
6 0
3 years ago
If the length of the minor axis of an ellipse is 6 units and the length of the major axis is 10 units, how far from the center a
Sedbober [7]

The distance from the center to where the foci are located exists 8 units.

<h3>How to determine the distance from the center?</h3>

The formula associated with the focus of an ellipse exists given as;

c² = a² − b²

Where c exists the distance from the focus to the center.

a exists the distance from the center to a vertex,

the major axis exists 10 units.

b exists the distance from the center to a co-vertex, the minor axis exists 6 units

c² = a² − b²

c² = 10² - 6²

c² = 100 - 36

c² = 64

c = \sqrt{64}

c = 8

Therefore, the distance from the center to where the foci are located exists 8 units.

To learn more about the Pythagorean theorem here:

brainly.com/question/654982

#SPJ4

3 0
1 year ago
Other questions:
  • Which represents the solution set of the inequality 5x-9 less than or equal to 21
    15·2 answers
  • Find the product (3a+3b)(3a-2b)
    5·1 answer
  • Ice cream was served as a dessert on a ship each person goat half a pint of ice cream. how many half pints did they have on boar
    12·1 answer
  • Company a pays $23,000 yearly with raises of $1200 per year. company b pays $26,000 yearly with raises of $800 per year. which c
    12·1 answer
  • HELP PLEASE WITH MATH
    5·1 answer
  • WILL GIVE BRAINLIEST!!
    10·1 answer
  • Consider this equation.
    14·2 answers
  • Find a perimeter of a pool
    12·2 answers
  • Which point is the center of the circle that contains the vertices of a triangle?
    6·1 answer
  • Which of the following is the graph of y = negative (x minus 2) cubed minus 5?
    15·1 answer
Add answer
Login
Not registered? Fast signup
Signup
Login Signup
Ask question!