1answer.
Ask question
Login Signup
Ask question
All categories
  • English
  • Mathematics
  • Social Studies
  • Business
  • History
  • Health
  • Geography
  • Biology
  • Physics
  • Chemistry
  • Computers and Technology
  • Arts
  • World Languages
  • Spanish
  • French
  • German
  • Advanced Placement (AP)
  • SAT
  • Medicine
  • Law
  • Engineering
tester [92]
3 years ago
13

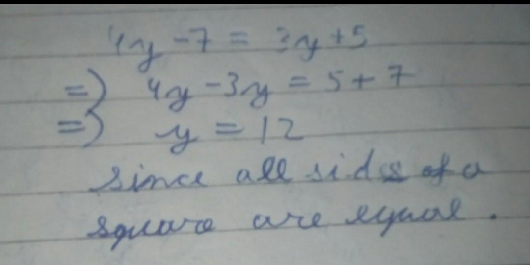
Solve for thw value of y​

Mathematics
2 answers:
ddd [48]3 years ago
5 0

Answer:

ok understood mark as branliest please please

kobusy [5.1K]3 years ago
3 0

Answer:

here you go.......

Step-by-step explanation:

hope this helps

You might be interested in
Evaluate the algebraic expression h(m+n)/2<br> h=4 m=5 n=6.
zhenek [66]
H(m+n)/2 
4(5+6)/2
4(11)/2
44/2
22
(but if you mean by multiplication)
88
4 0
4 years ago
Read 2 more answers
2. Which equation can be used to determine what number, n, is 40% of 64?
elena-14-01-66 [18.8K]
3rd answer

Hope this helps!!!!
4 0
3 years ago
Read 2 more answers
How to write 111101 to base 2
Hoochie [10]

Answer:

11011000111111101

Step-by-step explanation:

7 0
3 years ago
What is the explicit formula of -1,-3,-9,-27
TEA [102]

Answer:

(-1)* (3)^(n-1)

Step-by-step explanation:

common ratio is 3 and the first term is -1

the explicit formula is a * r^ ( n-1)

i.e., (-1) * 3^(n-1)

3 0
4 years ago
Would appreciate some help first to answer gets brainliest
elixir [45]
The correct answer is B
3 0
3 years ago
Other questions:
  • Write seventeen thousand and one hundred six thousandths in standard form.
    6·2 answers
  • Isolate the y. (get the y to be the only one on the left side)
    8·2 answers
  • An angle that measure exactly 180 is know as a/an ​
    11·2 answers
  • (x/2 - 3 1/3) - (x/4 - 1 2/3)
    13·1 answer
  • 125 is 500% of what number
    11·1 answer
  • Li cut a 6-inch piece of string into pieces that are each ½ of an inch long. How many pieces of string did she cut?
    14·1 answer
  • Sal is mailing 5 identical packages. each package has a mass of 6 kilograms.
    5·1 answer
  • Hii Answer this please :)))((((
    10·2 answers
  • 29 is decreased by 6.5%, what is the new amount?
    6·1 answer
  • Juna travels 15 mph for 10 hours find the distance piles per hour
    13·1 answer
Add answer
Login
Not registered? Fast signup
Signup
Login Signup
Ask question!