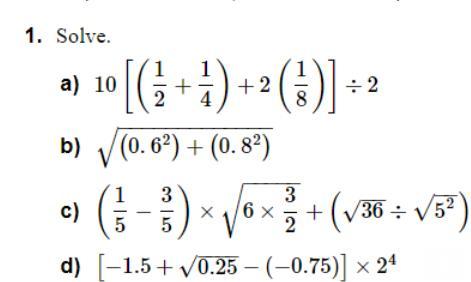
Answer:
a) 5 b) 1 c) 0 d) -4
Explanation:
a) 10[(1/2+1/4) + 2(1/8)] ÷ 2
Ok, there's a lot going on. You will want to follow PEMDAS, the acronym of the Order of Operations. It stands for Parentheses, Exponents, Multiplication/Division, and Addition/Subtraction. The M/D can be switched depending on what comes first from left to right, and same goes for A/S.
First, start off by doing everything in the brackets.
Let's add 1/2 and 1/4. To add fractions, they have to have a common denominator. I'm making 1/2 into 2/4 but multiplying the top and bottom by 2. Now it is 2/4 + 1/4 so we can add to get <u>3/4</u>.
The other thing inside the brackets is 2(1/8). We can just multiply straight across and get 2/8. This can be simplified to <u>1/4</u>.
Now, we add 3/4 and 1/4. The denominators are already the same, so we can just add them together to get 4/4 or 1.
Rewriting the equation, we now have 10(1)÷2
10•1 = 10
10 ÷ 2 = 5
The answer to question a is <u><em>5</em></u>.
b) √(0.6)² + (0.8)²
First, we need to square both terms. Squaring is the same as multiplying the number by itself.
0.6 • 0.6 = 0.36
0.8 • 0.8 = 0.64
Add them together: 0.36 + 0.64 = 1
√1 = 1
The answer to question b is <u><em>1</em></u>.
c) (1/5 - 3/5) • √6•3/2 + (√36 ÷ √5²)
Let's start with the first bit: (1/5 - 3/5)
The denominators are the same, so just subtract and you get <u>-2/5</u>
The second bit now: 
Multiply across and you get 18/2, which can be simplified to 9
√9 = <u>3</u>
The third section: (
÷
)
The square root of 36 = 6 (because 6•6=36, so it's right)
The square root and the square cancel each other out, so the second part is 5.
6 ÷ 5 = <u>1.2</u>
Now put it all together: -2/5 • 3 + 1.2
I'm making the 1.2 into a fraction so it is the same as the fraction: 1.2 = 6/5
We now have -2/5 • 3 + 6/5
First we multiply -2/5 and 3 across:
-2/5 • 3 = -6/5
Now we add -6/5 and 6/5 across:
-6/5 + 6/5 = <u><em>0</em></u>
d) [-1.5 + √0.25 - (-0.75)] • 2^4
Doing the brackets first:
The square root of 0.25 = 0.5 (because 0.5 • 0.5 = 0.25)
-1.5 + 0.5 - -0.75
-1 + 0.75 (subtracting a negative make a positive)
-0.25
-0.25 • 2^4
2^4 = 16 (this is saying 2•2•2•2 which is 16)
-.25 • 16 = <u><em>-4</em></u>