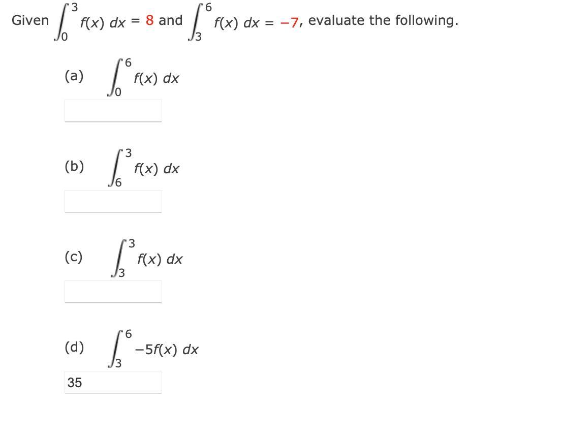
Answer:
2a+6b
Step-by-step explanation:
Answer: y=2x-8
Step-by-step explanation:
Answer:
11.0905365064
11.1 (rounded)
Step-by-step explanation:

I'm not sure about my answer but it might be 45%.
You might want to check with somebody else just in case it is wrong.
Hoped this helped you today. ;)
Answer:
Step-by-step explanation:
Given,
1st term (a) = 1
Common ratio (r) = -4/5
last term (l) = - 
Now,
Sum (S) = (lr- a)/(r - 1) =[(4/5)³° - 1]/(-9/5)
= -0.99876206/-1.8
= 0.5548678111
Sorry bro couldn't get answer in fraction.