Differentiate :
Csqrt%7B2x%2B7%7D%7D" id="TexFormula1" title="\mathsf {y = cos^{-1}\frac{x}{2} \div \sqrt{2x+7}}" alt="\mathsf {y = cos^{-1}\frac{x}{2} \div \sqrt{2x+7}}" align="absmiddle" class="latex-formula">
2 answers:
Answer:

Step-by-step explanation:
<u>Quotient Rule</u>


Given equation:

To differentiate the given equation, apply the Quotient Rule:





Therefore:






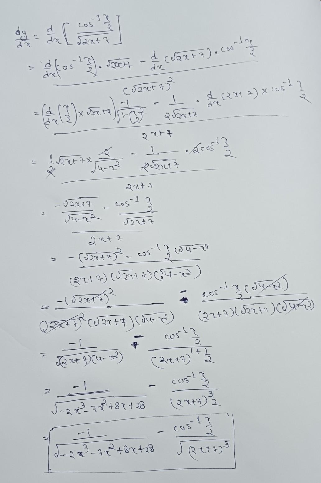
Refer to the attachment for calculation

You might be interested in
Answer:
160 in^2
Step-by-step explanation:
X + x = 2
1 × 5 = 5
So it would be blank plus blank gives you x=2
Then blank times blank gives you x=5
The answer is 7 because it is an isosceles triangle :)
= 8(11) / 4 + 12
= 88/4 + 12
= 22 + 12
= 34
Answer
34
Answer: the bottom is A then C
Step-by-step explanation: