1answer.
Ask question
Login Signup
Ask question
All categories
  • English
  • Mathematics
  • Social Studies
  • Business
  • History
  • Health
  • Geography
  • Biology
  • Physics
  • Chemistry
  • Computers and Technology
  • Arts
  • World Languages
  • Spanish
  • French
  • German
  • Advanced Placement (AP)
  • SAT
  • Medicine
  • Law
  • Engineering
leva [86]
3 years ago
9

Consider a 1-year option with exercise price $60 on a stock with annual standard deviation 20%. The T-bill rate is 3% per year.

Find N(d1) for stock prices (a) $55, (b) $60, and (c) $65.

Business
1 answer:
Yakvenalex [24]3 years ago
6 0

Answer:

Case 1: 0.4266

Case 2: 0.5987

Case 3: 0.7422

Explanation:

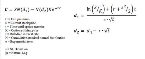
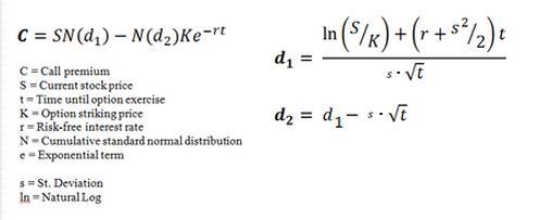
We will use the following formula to find d1 which is also given in the attachment below:

d1 = [ ln(S/K)   +   (r  +  0.5 * s^2)*t  ]  /  s * √t

Here

K is strike price and is $60

r is risk free rate which is 3%

s is annual standard deviation which is 20%

t is the option period which is 1 one year

<u>Case 1: Stock Price is $55</u>

Here K is $55. Putting values in the above equation, we have:

d1 =  [ ln(55/60)   +   (3%  +  0.5 * 20%^2)*1   ]   / 20% * √1

d1 = -0.1851

By using the normal distribution table, we can calculate N(d1) which is:

N(d1) = 0.4266

<u>Case 2: Stock Price is $60</u>

Here K is $60. Putting values in the above equation, we have:

d1 =  [ ln(60/60)   +   (3%  +  0.5 * 20%^2)*1   ]   / 20% * √1

d1 = 0.25

By using the normal distribution table, we can calculate N(d1) which is:

N(d1) = 0.5987

<u>Case 3: Stock Price is $65</u>

Here K is $65. Putting values in the above equation, we have:

d1 =  [ ln(65/60)   +   (3%  +  0.5 * 20%^2)*1   ]   / 20% * √1

d1 = 0.6502

By using the normal distribution table, we can calculate N(d1) which is:

N(d1) = 0.7422

You might be interested in
On January 1, 2021, Nana Company paid $100,000 for 8,000 shares of Papa Company common stock, which represents 10% ownership. Pa
inna [77]

Answer:

$360,000

Explanation:

According to the scenario, computation of given data are as follows,

Nana company bought shares = 8,000

Fair value of share = $45 per share

So, we can calculate the amount to be reported in balance sheet by using following formula,

Amount to be reported in balance sheet = Number of shares bought × Fair value per share

= 8,000 × $45

= $360,000

7 0
3 years ago
make your own meme for points! But I swear if there is no good memes brainly sucks now because their used to be amaaaaaaaaaazing
BARSIC [14]

I made this a long time ago for reddit

Good luck lads

5 0
3 years ago
Read 2 more answers
A firm is a recognized cost leader but has a strategic goal to become a cost and service leader. what is one initiative that cou
a_sh-v [17]

A firm is a recognized cost leader but has a strategic goal to become a cost and service leader. "Provide special attention to your most important clients by adapting your services to their needs."  is one initiative that could be planned and implemented to achieve this goal

This is further explained below.

<h3>What is one initiative that could be planned and implemented to achieve this goal?</h3>

Generally, A company's long-term objective is to dominate both its industry's price point and level of service.

Among the many strategies that may be developed and put into action to accomplish this would be to "provide your most valuable customers individualized service tailored to their specific requirements."

In conclusion,  Strategic goals are the particular financial and non-financial objectives and achievements that a firm seeks to accomplish over the course of a specified period of time, often the next three to five years.

These goals may be broken down into two categories: financial and non-financial.

Read more about Strategic goals

brainly.com/question/15301818

#SPJ1

4 0
2 years ago
Coronado Industries uses job order costing for its brand new line of sewing machines. The cost incurred for production during 20
pashok25 [27]

Answer:

Cost per machine = $2,440 per machine

Explanation:

Provided Information

Opening work in process = $23,000

Additions during the month

Direct Materials = $24,000

Direct Labor = $17,000

Manufacturing Overheads = $14,000

Total during the month = $55,000

Closing work in process = $17,000

Cost of manufacturing during the month = Opening + Additions - Closing

= $23,000 + $55,000 - $17,000 = $61,000

Number of machines produced = 25 machines

Cost per machine = $61,000/ 25 = $2,440 per machine

4 0
3 years ago
What should the project manager of a team do to successfully manage a team? The project manager should train team members on -re
lawyer [7]

Answer:

This is correct, along with some other things a project manager could do.

Explanation:

6 0
3 years ago
Other questions:
  • What are the disadvantages of holding physicians criminally responsible for the outcomes of their medical actions?
    12·1 answer
  • What are the "marketable" characteristics of snails?​
    5·1 answer
  • In China during the 1950s, a group of collective farms, each of which contained more than 30,000 people who lived and worked tog
    9·1 answer
  • Suppose at $10 the quantity demanded is 100. When the price falls to $8, the quantity demanded increases to 130. The price elast
    12·1 answer
  • Chelsea, Inc. uses the job costing method and uses direct labor hours as the allocation base. In 2016, the company estimated tha
    6·1 answer
  • April is worried that she is not a "good speller," so she plans to let the spelling
    14·1 answer
  • The cruise ship sector is one branch that still relies on retail travel agents.
    9·2 answers
  • In what ways has the nature of work in the United States changed since the 1900s?
    5·2 answers
  • The factors that affect worker productivity include
    15·1 answer
  • A.
    13·1 answer
Add answer
Login
Not registered? Fast signup
Signup
Login Signup
Ask question!