1answer.
Ask question
Login Signup
Ask question
All categories
  • English
  • Mathematics
  • Social Studies
  • Business
  • History
  • Health
  • Geography
  • Biology
  • Physics
  • Chemistry
  • Computers and Technology
  • Arts
  • World Languages
  • Spanish
  • French
  • German
  • Advanced Placement (AP)
  • SAT
  • Medicine
  • Law
  • Engineering
11Alexandr11 [23.1K]
3 years ago
15

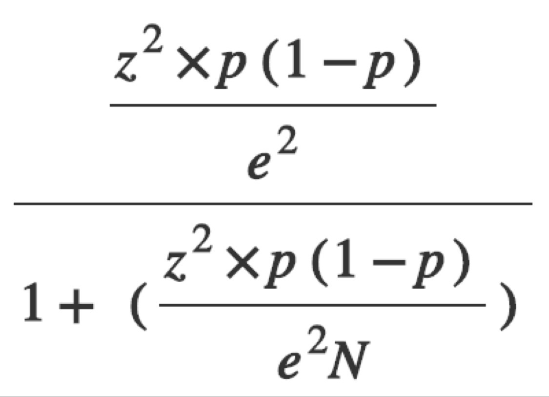
What is the sample size formula

Biology
1 answer:
Vika [28.1K]3 years ago
5 0
The Sample Size formula, also known as the Cochran Formula, allows for calculation of an ideal sample size. Below, I have inserted a picture of the formula, where it’s variables are as follows,
N=population size
E= margin of error
Z=z-score

You might be interested in
Ayuda es urgente...gracias
Alex Ar [27]
La página está en Blanco Donde está la pregunta
4 0
3 years ago
explain why it is important to keep the levels of nucleotides relatively balanced in the context of dna and rna synthesis
juin [17]

Answer:

Read Below

Explanation:

Nucleotides are A & T and G&C you see in DNA and in RNA T is Replaced by U. The reason they must be balanced between G&C and T&A is because G has to bond with A in DNA and G with C so if there is more G than C that means there is mismatches between the DNA nucleotides same thing for A and T. In RNA you follow the same rule. If we have lets say 27% of our DNA as A we have to have 27% as T leaving 23% as C and 23% as G. If there was lets say 29% T while one 27% A then there was a error in DNA replication and could lead to errors in RNA synthesis if not corrected

4 0
3 years ago
A male bird has a genetic mutation that influences its mating behavior. This male bird performs a ritualistic dance that is very
mafiozo [28]

Answer:

This is a case of natural selection

Explanation:

Mutations are a fundamental part of the process of evolution by natural selection. These are a random genetic modifications that occur on every organism - some are beneficial and others could be harmful or disadvantageous. Therefore, natural selection decides which mutations will stay on a population and which ones will be eliminated.

In this scenario, this mutation enables the male bird to carry out better mating rituals, therefore it would be considered beneficial as it helps the species to reproduce and survive. So, it will be passed on from generation to generation, making other individuals fit for survival.

6 0
4 years ago
Read 2 more answers
Explain how in glycolysis that the splitting of one glucose molecule results in 4 ATP but there is only a net gain of 2 ATP.
suter [353]
During glycolisys in cytoplasm, first step involves adding two phosphates to glucose molecule. This step requires the use of two ATP molecules. The next step is splitting 6 carbons glucose into two 3 carbons pyruvates. This step produces 4 ATPs and 2 NADHs. However, since we used up two ATPs during the initial phosphorylation, the net gain is only 2 ATPs
3 0
3 years ago
What is Cell Theory, and what are some examples of it?
wariber [46]

Answer:

Explanation:

Cell theory is a scientific theory first formulated in the mid-nineteenth century, that living organisms are made up of cells, that they are the basic structural/organizational unit of all organisms, and that all cells come from pre-existing cells


ex. Any animal

8 0
2 years ago
Read 2 more answers
Other questions:
  • Which term is used to describe the amino acids which cannot be synthesized by the cell but must be acquired from an outside sour
    9·2 answers
  • Which process allows energy to be released in the from of atp?
    6·1 answer
  • Unlike microtubules, which operate in the cilia and flagella, what is the role of microfilaments in eukaryotic cells? anchor cel
    13·1 answer
  • Which of the following adaptations is not used to enable movement in protists? A. Pseudopod B. Spores C. Conjugation D. Flagella
    12·2 answers
  • Please help!!! <br> (Btw I tried “5,730” and it was wrong)
    9·2 answers
  • What is the acceleration of the Atlas V if it is launched empty, using the larger booster?
    9·1 answer
  • How was the solar system model first used
    8·1 answer
  • Three phases of interphase
    7·1 answer
  • Select the correct answer. which set of proteins assist in the process of adding animo acids one by one to the growing animo aci
    9·1 answer
  • Is the following sentence true or false? The cell wall lies inside the cell membrane.
    14·1 answer
Add answer
Login
Not registered? Fast signup
Signup
Login Signup
Ask question!