1answer.
Ask question
Login Signup
Ask question
All categories
  • English
  • Mathematics
  • Social Studies
  • Business
  • History
  • Health
  • Geography
  • Biology
  • Physics
  • Chemistry
  • Computers and Technology
  • Arts
  • World Languages
  • Spanish
  • French
  • German
  • Advanced Placement (AP)
  • SAT
  • Medicine
  • Law
  • Engineering
STALIN [3.7K]
4 years ago
14

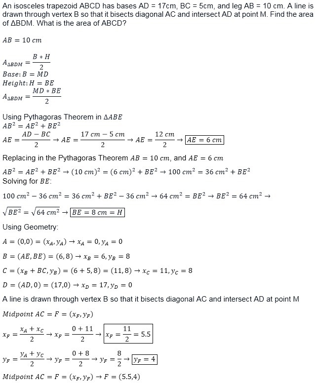
*An isosceles trapezoid ABCD has bases AD = 17cm, BC = 5cm, and leg AB = 10 cm. A line is drawn through vertex B so that it bise

cts diagonal
AC and intersect AD at point M. Find the area of ΔBDM. What is the area of ABCD?

Mathematics
1 answer:
frozen [14]4 years ago
3 0
Hello,
Please, see the attached files.
Thanks. 

You might be interested in
Select a point not on the line. Show that the ordered pair represented by this point is not a solution of the equation 8x + y =
soldi70 [24.7K]

(5, 40) is not on the line.

Equation: 8x + y = 200.

Plug in our choosen point: 8(5) + (40) = 200.

Mulitply: 40 + 40 = 200

Add: 80=200

Answer: 80≠200

This works for your problem.

7 0
3 years ago
Fit for Family offers a membership fee of $450 for the year or the option to pay $41 per month. How much more do you save each m
Whitepunk [10]

Answer:

$42

Step-by-step explanation:

The yearly membership is $450.

The monthly membership is $41. This means that in a year, the membership fee will be:

41 * 12 = $492

We have to subtract the yearly fee from this.

That means that if you choose the yearly membership over the monthly membership, you'll save:

492 - 459 = $42

5 0
3 years ago
Name the property of real numbers illustrated by the equation.
sammy [17]
Distributive property :))))
4 0
4 years ago
Read 2 more answers
Help help help please !!!!<br><br> No LINKS !!!
xxMikexx [17]

Answer:

$55,200

Step-by-step explanation:

Area of yard = length * breadth

So,

Area = 50*46 = 2300 sq. feet

Again,

Cost per sq. feet = $24

So, For 2300 sq. feet,

Total cost = $24*2300 = $55,200

Hope it helped!

4 0
2 years ago
Solve for h.<br>3/7 = h/14 - 2/7​
AleksAgata [21]

Answer:

10

Step-by-step explanation:

Multiplying both sides by 14

2*3=h-(2*2)

6=h-4

h=6+4

h=10

3 0
3 years ago
Read 2 more answers
Other questions:
  • Gregory is building a pen for his new puppy. He needs the pen to be 9 1/2 feet by 6 3/4 feet. How many feet of fencing does he n
    5·1 answer
  • Which of the following is a composite number?<br> A. 91<br> B. 29<br> C. 13<br> D. 139
    9·2 answers
  • The gross domestic product is?
    11·2 answers
  • What is the solution to the equation below? Round your answer to two
    13·1 answer
  • Plzzz someone help me
    6·1 answer
  • Maria tenia un monton de lapices .Al agruparlos de 3 en 3 le ha sobrado 1. ¿cuantos lapices puede tener maria? escribe cinco pos
    14·1 answer
  • (x - 5)(5x + 2) = 0 (please help)
    15·2 answers
  • What goes into 27 and 48?
    7·2 answers
  • Find the quotient.<br> -245 - 35<br> a. -7<br> b. - 5<br> C. 5<br> d 7
    9·2 answers
  • $1,000 at 14% for 2 yearswhat is the simple interest?what is the total amount?
    10·1 answer
Add answer
Login
Not registered? Fast signup
Signup
Login Signup
Ask question!