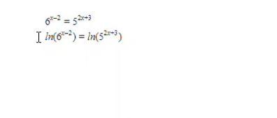
-------------------------------------------------------------------------------------------------------------
Answer: 
-------------------------------------------------------------------------------------------------------------
Given: 
Find: 
Solution: In order to simplify the inequality we can simply add 4 to both sides which would isolate x.
<u>Add 4 to both sides</u>
Therefore, an inequality that would be equivalent to the one that was provided in the problem statement is x < 13.
Answer: 7/3
Step-by-step explanation:
R-P= (3,-7). the displacement vector.
P+x(R-P) moves to x times distance between
P+(R-P) = R moves to 100% of the distance.
Q = P+2/3(R-P)
= (-2,7)+2/3(3,-7)
= (-2,7)+(2,-14/3)
= (0,7-14/3)
= (0,7/3)
= (0,2.3333...)
Answer:
h = 7 1/2
Step-by-step explanation:
2/5 h = 3
Multiply each side by 5/2 to isolate h
5/2 * 2/5 h = 5/2 *3
h = 15/2
h = 7 1/2
A lot BECAUSE I LIKE FRACTOONS
Answer:
x = 2
Step-by-step explanation:
As we can see that the diagonals bisects so
LN = 20
UN = 20 /2 = 10
So Now
UN = 5x
10 = 5x
x = 10 / 5
x = 2