1answer.
Ask question
Login Signup
Ask question
All categories
  • English
  • Mathematics
  • Social Studies
  • Business
  • History
  • Health
  • Geography
  • Biology
  • Physics
  • Chemistry
  • Computers and Technology
  • Arts
  • World Languages
  • Spanish
  • French
  • German
  • Advanced Placement (AP)
  • SAT
  • Medicine
  • Law
  • Engineering
Ket [755]
3 years ago
6

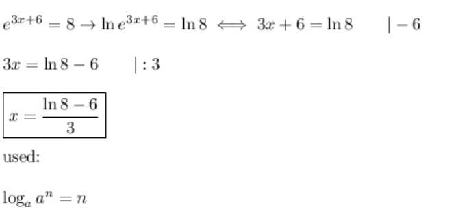
What is the value of x if e^3+6=8

Mathematics
1 answer:
Sergeeva-Olga [200]3 years ago
5 0

Answer:

A

Step-by-step explanation:

You might be interested in
A utility company estimates that a power line repair job will take a total of 24 person-hours. If 3 workers are assigned to the
GalinKa [24]

Answer:

8hrs

Step-by-step explanation:

\frac{24}{3}  \\  \\

4 0
4 years ago
-(y + 2) + 8 = 3<br> I’m so confused on this, please send help
Hoochie [10]

Don't be worried friend :)

-(y + 2) + 8 = 3

=> -(y + 2) = -5

=> y + 2 = 5

=> y = 3

7 0
3 years ago
The product of six and a number is multiplied by nine
alex41 [277]
6 + y × 9 (the x is a times sign btw)
5 0
3 years ago
Read 2 more answers
Look at this equation. 3(x + 1) = 3x + Which number can be placed in the box that would create an equation that has an infinite
luda_lava [24]
Your final equation would be 3(x+1)= 3x+3 because if you do 3 times x you get 3x so if you do 3 times 1 you get 3 making the equation have infinite solutions. 

The final answer is: 3(x+1)= 3x+3 for an infinite number of solutions. 
3 0
4 years ago
g A CD player with an original price of $380.00 is on sale at 35% off. What is the discount amount and the CD player sale price?
inna [77]

Answer:

Cost: $247

Discount: $133

Step-by-step explanation:

Simply multiply 380 and 35% off together to get your answer:

380(1 - 0.35)

380(0.65)

247

To find the discount amount, simply subtract the 2 numbers to get your answer:

380 - 247 = 133

4 0
3 years ago
Other questions:
  • What are the domain and range of f (x) = (one-fifth) Superscript x?
    11·2 answers
  • John puts $300 into a savings account. He puts more money into the account each month. After 12 months he has $1500 in his savin
    8·2 answers
  • The nutrition label for Oriental Spice Sauce states that one package of sauce has 1100 milligrams of sodium. To determine if the
    6·1 answer
  • 12 + 3y = 21 <br> Expression or Equation:
    8·2 answers
  • The difference between two temperature readings
    12·1 answer
  • Hey, help plz! 9r/sif r = 6 and s = 3?????
    11·1 answer
  • Simplify the first expression 5(m+1)-1=
    7·1 answer
  • Jared made a scale drawing of his classroom for his tech project. He used a scale of 1 cm = 3.5 ft. If the length of his classro
    11·1 answer
  • Which of the following expressions has a simplified value of 3a – 2?
    12·2 answers
  • PLEASE HELP
    11·1 answer
Add answer
Login
Not registered? Fast signup
Signup
Login Signup
Ask question!