1answer.
Ask question
Login Signup
Ask question
All categories
  • English
  • Mathematics
  • Social Studies
  • Business
  • History
  • Health
  • Geography
  • Biology
  • Physics
  • Chemistry
  • Computers and Technology
  • Arts
  • World Languages
  • Spanish
  • French
  • German
  • Advanced Placement (AP)
  • SAT
  • Medicine
  • Law
  • Engineering
4vir4ik [10]
4 years ago
5

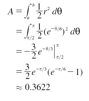
Find the area of the region that is bounded by the given curve and lies in the specified sector. r = e−θ/6, π/2 ≤ θ ≤ π

Mathematics
1 answer:
anyanavicka [17]4 years ago
4 0
I posted an image instead.

You might be interested in
Please answer the following…
Ymorist [56]

Answer:

$75.22

$42

$5

Step-by-step explanation:

4 0
3 years ago
I need help with #15
gladu [14]
15.  MP(5,11)    S(3,5)   M(x,y)

(3+x)/2 = 5  x=7

(5+y)/2 =-11  y=-27

M(7,-27) is the other point
8 0
4 years ago
Convert 4/7 to decimals using long divison​
Elena-2011 [213]
I think it’s 1.75 sorry if this is wrong
3 0
3 years ago
A bag contains 7 red marbles, 3 blue marbles, 1 green what is the prob. of choosing a marble not blue?
Alex787 [66]
3 marbles as there is only one green and there is three other blue marbles left and that answer is incorrect 

8 0
3 years ago
Which graph represents an exponential function?
Anettt [7]
The graph pictured is an exponential function.
8 0
4 years ago
Read 2 more answers
Other questions:
  • The ages of MBA students at a university are normally distributed with a known population variance of 10.24. Suppose you are ask
    9·1 answer
  • Write the sum of 3x^2 + x + 8 and x^2 - 9
    8·1 answer
  • Solve 2x+y=2x please answer for me
    7·1 answer
  • Michael graphs the equations y= -1/2+4 and y = x + 1 to solve the equation -1/2x+4= x+1. His graph is shown below. What are the
    12·1 answer
  • Find the cost price when,<br>(a) Selling price = Rs 725 and 15% gain​
    7·1 answer
  • The square of a number ending with 9 will end with?<br>(a) 1 (b) 3 (c) 6 (d) 9​
    5·2 answers
  • If there are 15 people in a room how many people is 25%
    10·1 answer
  • Select the equivalent expression . ( 3^ 6 y^ -5 )^ 2 =?
    13·1 answer
  • PLSSSS HELLLPPPPPPP How much would it cost to buy 3.4 pounds of Bartlett pears and 2.1 pounds of Concorde pears? Concorde pears
    10·1 answer
  • If x= -2 and y=√12 then 2(3x³+ 2y²)=
    8·1 answer
Add answer
Login
Not registered? Fast signup
Signup
Login Signup
Ask question!