1answer.
Ask question
Login Signup
Ask question
All categories
  • English
  • Mathematics
  • Social Studies
  • Business
  • History
  • Health
  • Geography
  • Biology
  • Physics
  • Chemistry
  • Computers and Technology
  • Arts
  • World Languages
  • Spanish
  • French
  • German
  • Advanced Placement (AP)
  • SAT
  • Medicine
  • Law
  • Engineering
Black_prince [1.1K]
3 years ago
10

Which of the following is correct.......???

Mathematics
2 answers:
andreyandreev [35.5K]3 years ago
7 0
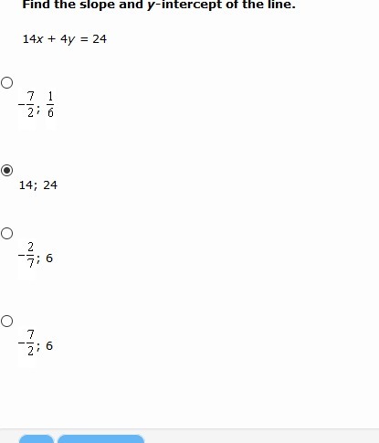
14x + 4y = 24
4y = -14x + 24
y = -14/4x + 24/4
y = -7/2x + 6

slope = -7/2
y intercept y = 6

answer -7/2, 6 last choice

lianna [129]3 years ago
3 0
Its D.

just rewite it in the form y=mx+c

u'll get y= (-7/2)x+6
You might be interested in
What is the solution to the system of linear equations below?<br> - 2x + 5y<br> 30
avanturin [10]
Answer: Infinite solutions

Step 1: Turn this into y=Mx+b form

The current equation is—

-2x+5y=30

Since we want to get y alone on the left side, let’s add 2x on both sides

-2x+5y=30
+2x +2x
____________
5y=2x+30

Step 2: Again, trying to get y alone, we need to divide 5 on both sides

5y=2x+30
/5 /5 /5
________
y=2/5x+6

Step 3: Now that we know how to find y, substitute that in where y is in the equation

-2x + 5(2/5x+6) = 30
-2x + 2x + 30 = 30
30=30

Seeing that you cannot get a specific answer for y when solving, there is an infinite number of solutions


Hope this is right and it helps comment below for more questions :)
5 0
3 years ago
A school custodian discovered a leak in a water pipe. The custodian found that 1920 fluid ounces of water leaked out. How many g
shtirl [24]
1920 fL/128G
= 15 Gallons
8 0
4 years ago
Read 2 more answers
The table below shows data for a class's mid-term and final exams:
kari74 [83]
I think it’s the 81-78
4 0
3 years ago
Solve the equation.<br> d divided by 3 = 139<br> d =<br><br> (Type a whole number.)
wolverine [178]

Answer:

417

Step-by-step explanation:

HOPE THAT HELPED

7 0
3 years ago
Read 2 more answers
The titanic weighed 52,310 tons. How many ounces did the titanic weigh?​
max2010maxim [7]

Answer:

52,310 tons converted into ounces is: 1.67392e+9 ounces. (9 zeros)

Step-by-step explanation:

8 0
3 years ago
Read 2 more answers
Other questions:
  • Answer plz ? Don’t understand
    6·1 answer
  • What is the average rate of change of the function f(x)=5(2)^x from x = 1 to x = 5?
    10·1 answer
  • What is the value of y?<br><br><br><br> Enter your answer in the box.
    7·2 answers
  • PLEASE HELP!!
    7·1 answer
  • Abdullah is buying a dirt bike for $830. He has already paid $200 towards the bike
    11·2 answers
  • Solve for x, and JUSTIFY your answer
    13·1 answer
  • A group of rectangular prisms is shown.
    15·1 answer
  • Please help me fill those in please please I will give you credit please
    7·1 answer
  • The film starts at 6.45 pm The film last 102 minutes what time dose the film finish
    12·1 answer
  • Suppose that x and y vary inversely, and x = 12 when y = 8 . Write the function that models the inverse variation.
    8·1 answer
Add answer
Login
Not registered? Fast signup
Signup
Login Signup
Ask question!