1answer.
Ask question
Login Signup
Ask question
All categories
  • English
  • Mathematics
  • Social Studies
  • Business
  • History
  • Health
  • Geography
  • Biology
  • Physics
  • Chemistry
  • Computers and Technology
  • Arts
  • World Languages
  • Spanish
  • French
  • German
  • Advanced Placement (AP)
  • SAT
  • Medicine
  • Law
  • Engineering
N76 [4]
4 years ago
11

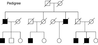
In the diagram shown, ___________ are represented by the squares.

Biology
2 answers:
ra1l [238]4 years ago
3 0
I believe the answer is
 A
photoshop1234 [79]4 years ago
3 0

The right answer is A) males.

Medicine and science make abundant use of plant metaphors to represent evolutions or links, as for example in the phylogenetic tree that schematizes kinship relations between groups of living beings. The family tree is also used in genetics to represent or diagnose inherited traits or diseases. The graphic conventions are then significantly different (these are international symbols), including:

* women by circles and men are represented by squares

* the symbols representing the individuals "affected", that is to say carriers of the gene studied, have a plain solid background

* the symbols of deceased persons are crossed out

* consanguineous marriages are represented by two solid lines.

You might be interested in
What is land use? (1 point)
ArbitrLikvidat [17]

I am pretty sure it is D
4 0
3 years ago
DNA has two strands.If the sequence of the nucleotides of one strand was known,is it possible to use that information to determi
boyakko [2]
Yes. the nucleotides are A, T, G, and C. A and T pair up and G and C pair up. For instance, if your known strand is AGTCAG then the second strand would have to be TCAGTC. Also, if there is a U in the strand, it takes the place of T. so the original strand would be AGTCAG and the unknown would have to be UCAGUC.
3 0
3 years ago
Someone please do this for me, due soon. I'll give brainliest, thanks and 5 stars.
slava [35]

Answer:

Yes.

Explanation:

Yes, a tree is falling over in a forest make a sound because both the tree and ground are hard surfaces which can produces sound by contact physically with each other. For testing this hypothesis, we have to take a tree and cut that tree. when the tree falls on the ground it will definitely produces sounds by contact physically with the ground when falls with a large force.

4 0
3 years ago
Ep-28 which is the best precaution against carbon monoxide poisoning?
inessss [21]

The best precaution against carbon monoxide poisoning is to keep air moving through the boat.

Carbon monoxide is a potentially deadly gas that is produced any time a carbon-based fuel burns. If you suspect carbon monoxide poisoning you must do the following: open doors and windows, turn off gas appliances. To determine if a person is poisoned by carbon monoxide you may look for the following signs and symptoms: dull headache, weakness, dizziness, nausea or vomiting, shortness of breath, confusion, blurred vision, loss of consciousness.

6 0
3 years ago
The saturated fats of animals differ from the unsaturated ones of plants. Unsaturated fats have
poizon [28]

Solution;

Unsaturated fats are typically liquid at room temperature. Unsaturated fats come primarily from plant foods, such as nuts and seeds, and. Examples include vegetable oils such as olive, peanut, safflower, sunflower, soybean and corn etc

While,

Saturated fats – which are found in butter, cheese, red meat and other animal-based foods. Decades of sound science has proven it can raise your “bad” cholesterol and put you at higher risk for heart disease.

Thus the saturated fats are differs from the unsaturated fats.

7 0
3 years ago
Other questions:
  • Vascular plants that have seeds surrounded by fruit are called_______
    8·1 answer
  • what are the advantages and disadvantages of eating a nutritionally engineered product versus relying on a balanced diet to main
    10·1 answer
  • If anyone could help that would be awesome !! :))))
    15·2 answers
  • All of the following are examples of mechanical weathering EXCEPT
    14·2 answers
  • Electromagnetic waves used in ovens and cell phone are called
    11·1 answer
  • The study of the ways living things function.
    5·2 answers
  • Why is the frequency of X–linked disorders greater in males compared to females?
    6·2 answers
  • World class swimmers can swim the 100 meter freestyle in about 55
    10·1 answer
  • Something found in every organ?
    14·1 answer
  • Do you think animal testing for cosmetics and household products should be banned?
    5·2 answers
Add answer
Login
Not registered? Fast signup
Signup
Login Signup
Ask question!