1answer.
Ask question
Login Signup
Ask question
All categories
  • English
  • Mathematics
  • Social Studies
  • Business
  • History
  • Health
  • Geography
  • Biology
  • Physics
  • Chemistry
  • Computers and Technology
  • Arts
  • World Languages
  • Spanish
  • French
  • German
  • Advanced Placement (AP)
  • SAT
  • Medicine
  • Law
  • Engineering
Salsk061 [2.6K]
3 years ago
7

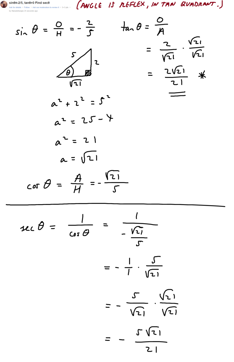
Sinθ=-2/5, tanθ>0    Find secθ

Mathematics
1 answer:
ANTONII [103]3 years ago
8 0
Answer is in the attachment below.

You might be interested in
Electric & energy energy answer sheet
elixir [45]
Hi what is your question
6 0
3 years ago
X^2-4x+3=0 write it in standard form.
trasher [3.6K]

Answer:

x

=

2

±

√

7

Explanation:

there are no whole numbers which multiply to - 3

and sum to - 4

we can solve using the method of  

completing the square

the coefficient of the  

x

2

term is 1

∙

add subtract  

(

1

2

coefficient of the x-term

) 2  to x2 − 4 x ⇒ x 2 +2(− 2 ) x + 4 − 4 − 3 = 0 ⇒ ( x − 2 )2 − 7 =0 ⇒ ( x − 2 ) 2 = 7

take the square root of both sides

⇒ x − 2 = ± √ 7 ←

note plus or minus

⇒ x = 2 ± √ 7←

exact solutions

4 0
3 years ago
Read 2 more answers
1651 rounded to the nearest thousand
geniusboy [140]

Answer:

2000

nearest thousandth

if the last 3 digits are over 500 then it's rounding up

7 0
3 years ago
LITERALLLLLLY DO AT 12
Lyrx [107]

Answer:

New England had skilled craftsmen in the industry of shipbuilding. The Mid-Atlantic presented a diverse workforce of farmers, fisherman, and merchants. The Southern Colonies were primarily agricultural with few cities and limited schools.

Hope this helped :)

7 0
3 years ago
Read 2 more answers
-2
Elodia [21]

Answer:

It would be the 2nd one

Step-by-step explanation:

4 0
3 years ago
Other questions:
  • A man walks 10 miles in x hours. How far does he walk in one hour?
    7·1 answer
  • Angles question please help math
    8·1 answer
  • Mark earns 22% commission on his sales. If his sales were $300, how much commission did he earn!
    6·1 answer
  • Six more than five times a number (x) is atleast twenty-one.
    11·1 answer
  • jocelyn is playing a game she gains 4 points, looses 8 points, and gains 3 points.what is her final score?
    12·1 answer
  • Background information: Wilson was a Democrat,
    14·1 answer
  • Which of the lists of letters all have rotational symmetry?
    13·1 answer
  • Which equation represents a line which is parallel to the line 8x – 7y = 35?
    7·1 answer
  • The mass of a basket containing 3 balls was 3.64 kilograms. The mass of the same basket and 5 balls is 5.26 kilograms. Find the
    6·2 answers
  • What value of x is the solution to the equation −3/2x−3/4=−1/5 ?
    12·1 answer
Add answer
Login
Not registered? Fast signup
Signup
Login Signup
Ask question!