Answer:
The value of the repeated root. is x=0.60
see the explanation
Step-by-step explanation:
we know that
In a quadratic equation of the form
The discriminant is equal to

If D=0 ----> The quadratic equation has repeated root
If D>0 ----> The quadratic equation has two different real solutions
If D<0 ----> The quadratic equation has two different complex solutions
<u><em>Verify each case</em></u>
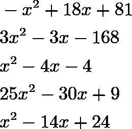
step 1
we have

To find the roots equate the equation to zero

so

Find the discriminant D


therefore
The quadratic equation has two distinct roots
step 2
we have

To find the roots equate the equation to zero

so

Find the discriminant D


therefore
The quadratic equation has two distinct roots
step 3
we have

To find the roots equate the equation to zero

so

Find the discriminant D


therefore
The quadratic equation has two distinct roots
step 4
we have

To find the roots equate the equation to zero

so

Find the discriminant D


therefore
The quadratic equation has repeated roots
step 5
Find the value of the repeated root
The formula to solve a quadratic equation of the form
is equal to

we have

substitute



