1answer.
Ask question
Login Signup
Ask question
All categories
  • English
  • Mathematics
  • Social Studies
  • Business
  • History
  • Health
  • Geography
  • Biology
  • Physics
  • Chemistry
  • Computers and Technology
  • Arts
  • World Languages
  • Spanish
  • French
  • German
  • Advanced Placement (AP)
  • SAT
  • Medicine
  • Law
  • Engineering
Liono4ka [1.6K]
3 years ago
15

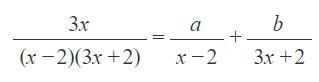
Find values of a and b that make the following equality into identity:

Mathematics
1 answer:
adelina 88 [10]3 years ago
4 0

Answer:

1. a=b=\dfrac{3}{4}

2. a=-3,\ b=3

Step-by-step explanation:

1. Given:

\dfrac{3x}{(x-2)(3x+2)}=\dfrac{a}{x-2}+\dfrac{b}{3x+2}

To find a and b, add two fractions in right side:

\dfrac{a}{x-2}+\dfrac{b}{3x+2}\\ \\=\dfrac{a(3x+2)+b(x-2)}{(x-2)(3x+2)}\\ \\=\dfrac{3ax+2a+bx-2b}{(x-2)(3x+2)}\\ \\=\dfrac{(3a+b)x+(2a-2b)}{(x-2)(3x+2)}

So,

\dfrac{3x}{(x-2)(3x+2)}=\dfrac{(3a+b)x+(2a-2b)}{(x-2)(3x+2)}

Two fractions with same denominators are equal when they have equal numerators, so

3x=(3a+b)x+(2a-2b)

Equate coefficients:

At\ x:\ \ 3=3a+b\\ \\At \ 1: 0=2a-2b

From the second equation:

a=b

Substitute it into the first equation:

3b+b=3\\ \\4b=3\\ \\b=\dfrac{3}{4}

Hence,

\dfrac{3x}{(x-2)(3x+2)}=\dfrac{\frac{3}{4}}{x-2}+\dfrac{\frac{3}{4}}{3x+2}

2. Given:

\dfrac{3}{x^2-5x+6}=\dfrac{a}{x-2}+\dfrac{b}{x-3}

Note that (x-2)(x-3)=x^2-3x-2x+6=x^2-5x+6

To find a and b, add two fractions in right side:

\dfrac{a}{x-2}+\dfrac{b}{x-3}\\ \\=\dfrac{a(x-3)+b(x-2)}{(x-2)(x-3)}\\ \\=\dfrac{ax-3a+bx-2b}{(x-2)(x-3)}\\ \\=\dfrac{(a+b)x+(-3a-2b)}{(x-2)(x-3)}

So,

\dfrac{3}{(x-2)(x-3)}=\dfrac{(a+b)x+(-3a-2b)}{(x-2)(x-3)}

Two fractions with same denominators are equal when they have equal numerators, so

3=(a+b)x+(-3a-2b)

Equate coefficients:

At\ x:\ \ 0=a+b\\ \\At \ 1: 3=-3a-2b

From the first equation:

a=-b

Substitute it into the second equation:

-3(-b)-2b=3\\ \\3b-2b=3\\ \\b=3\\ \\a=-3

Hence,

\dfrac{3}{x^2-5x+6}=\dfrac{-3}{x-2}+\dfrac{3}{x-3}

You might be interested in
When trying to write an equation in standard form, you first have to find the slope if it is not given. If the slope ends up bei
Elan Coil [88]
It is neither one. Division by zero is undefined in math, so if the slope ends up being 5/0, the line has undefined slope.
3 0
3 years ago
Determine If The Triangles Are Similar.If They Are,Choose The Reason Why.
Mariana [72]

Answer:

because they all have 3 corners

4 0
3 years ago
Describing trends in scatter plots1The graph below shows the relationship between life expectancyand infant mortality rate in a
rosijanka [135]
Given

The graph of the infant mortality rate and life expectancy is given in the scatter form.

Explanation

To determine the relation between the life expectancy and infant mortality rate ,

use the given graph.

From the graph given, it is clear that as the infant mortality rate increases then the life expectancy decreases.

Therefore, the countries with high mortality rates tended to have shorter life expectancies.

Answer

Hence the correct option is B.

5 0
2 years ago
What is the area of the parallelogeam
nlexa [21]
I believe it is 2 feet because area is base multiplied by height. So, 3 x 2/3 is 2.
5 0
4 years ago
Find the derivative of
Gre4nikov [31]

Answer:

<u><em>y' = 1 / sinxcosx</em></u>

Step-by-step explanation:

<u>Given :</u>

y = sinx + cosx / sinx - cosx

<u>Applying quotient rule :</u>

y' = [(sinx - cosx)(cosx - sinx) - (sinx + cosx)(cosx + sinx)] / (sinx -

cosx)²

y' = [sinxcosx - cos²x - sin²x + sinxcosx - (sinxcosx + cos²x + sin²x + sinxcosx)] / (sinx - cosx)²

y' = 2sinxcosx - 2sinxcosx - 2cos²x - 2sin²x / (sinx -cosx)²

y' = -2(sin²x + cos²x) / (sinx - cosx)²

y' = -2 / (sinx - cosx)²

y' = -2 / sin²x - 2sinxcosx + cos²x

y' = -2 / -2sinxcosx

<u><em>y' = 1 / sinxcosx</em></u>  [⇒ Final answer]

3 0
2 years ago
Read 2 more answers
Other questions:
  • Jim Tree borrowed $1,000 at 10 percent for one year. He paid a $45 processing fee and $100 in interest. Thus, the finance charge
    11·1 answer
  • Jane watched one television program for 1/4 of an hour and then changed channels to watch another program for 20 min. Write an e
    10·1 answer
  • A recent survey of 128 high school students indicated the following information about release times from school.
    9·1 answer
  • Which congruence theorem can be used to prove △MLQ ≅ △NPQ?<br><br> AAS <br> SSS <br> ASA <br> SAS
    8·2 answers
  • Calculate 3 over 4 ÷ 5 1 fifth
    14·2 answers
  • What is the direct variation equation for the table of ordered pairs
    12·1 answer
  • A car requires 22 litres of petrol to travel a distance of 259.6 km.Find
    13·1 answer
  • G = -5r + 13<br> what does g equal to
    15·1 answer
  • 1. -5(-4/7)=<br> 2. 2(-3)= <br> 3. -2(-2.6)<br> 4. -5(0.8)
    6·1 answer
  • Sarah is pouring soda into papercups. She has 4.5 liters of soda. If each papercup holds 0.25 liters, how many papercups will sh
    8·1 answer
Add answer
Login
Not registered? Fast signup
Signup
Login Signup
Ask question!