1answer.
Ask question
Login Signup
Ask question
All categories
  • English
  • Mathematics
  • Social Studies
  • Business
  • History
  • Health
  • Geography
  • Biology
  • Physics
  • Chemistry
  • Computers and Technology
  • Arts
  • World Languages
  • Spanish
  • French
  • German
  • Advanced Placement (AP)
  • SAT
  • Medicine
  • Law
  • Engineering
iren [92.7K]
4 years ago
8

Thermal energy storage systems commonly involve a packed bed of solid spheres, through which a hot gas flows if the system is be

ing charged, or a cold gas if it is being discharged. In a charging process, heat transfer from the hot gas increases thermal energy stored within the colder spheres; during discharge, the stored energy decreases as heat is transferred from the warmer spheres to the cooler gas.
Consider a packed bed of 75-mm-diameter aluminum spheres (? = 2700 kg/m3, and c = 950J/kg

Engineering
2 answers:
jolli1 [7]4 years ago
7 0

Answer / Explanation

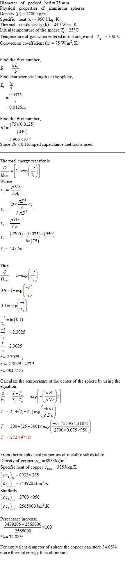
Consider a packed bed of 75-mm-diameter aluminum spheres (ρ=2700kg/m3,c=950J/kg⋅K,k=240W/m⋅K) and a charging process for which gas enters the storage unit at a temperature of Tg,i=300∘C.

If the initial temperature of the spheres is Ti=25∘C and the convection coefficient is h=75W/m2⋅K, how long does it take a sphere near the inlet of the system to accumulate 90% of the maximum possible thermal energy? What is the corresponding temperature at the center of the sphere? Is there any advantage to using copper instead of aluminum?

To start answering this question, we first define the parameters:

diameter aluminum spheres = 75 mm

charging process for which gas enters the storage unit at a temperature of

Tg,i=300∘C.

If we now recall the equation for internal energy storage, we have:

Q / ρcVθi = 0.90

Where:

1 - exponential ( -t / Tt )

Where:

Tt = ρVc/hAₓ = ρDc / 6h = 2700kg/m³ x 0.075m x 950joule /kg . k/6 x 75 watt/m² . k = 427 sec.

Hence:

t = - Tt In (0.1)

= 427 s x 2.30

= 984 sec.

Now, considering that the corresponding temperature at any point in the sphere is 984

Therefore:

T(984) = Tg,i + ( Ti - Tg,i ) exponential ( - 6h / ρDc )

Hence,

T( 984s) = 300⁰c - 275⁰c exponential ( -6 x 75 watt/m² . K x 984 s / 2700kg/m³) x (0.075 m x 950 joule/kg .K)

T( 984s) = 272.5⁰c  

Therefore, we can conclude that prior to the packed bed becoming fully charged, there is a decrease in the temperature of the gas as it navigates through the bed. Also, there is an increase in the time required for the sphere to reach the delegated state of thermal energy storage with an increasing distance from the bed inlet.

So, in summary,

The time it take a sphere near the inlet of the system to accumulate 90% of the maximum possible thermal energy = 984 seconds and the corresponding center temperature  = 272.5⁰c  

bonufazy [111]4 years ago
4 0

Answer:

T =272.497degrees

%=34.08%

Explanation:

Please see attachment

You might be interested in
. . . . . . . . . . ..........
Naddika [18.5K]

Answer: Thx for points...

Explanation:

Heres Random Info About Enginnering (because why not): Engineers are involved in all aspects of interactive TV technology, from designing new cables, to creating new film emulsions, to engineering better sound quality. This technology allows viewers to select any program, film, or game from more than 500 channels. Engineers play an instrumental role in the theme park industry?

Hope This Helps Someday!

5 0
3 years ago
Which of the following best characterizes a scientific law?
sesenic [268]

Answer:

subjective im pretty sure

Explanation:

6 0
3 years ago
Ok there........................................................................
Juliette [100K]

Answer:

ok THERE

Explanation:

4 0
3 years ago
A spherical balloon with a diameter of 9 m is filled with helium at 20°C and 200 kPa. Determine the mole number and the mass of
SIZIF [17.4K]

Answer:

<em>number of mole is 31342.36 moles</em>

<em>mass is 125.369 kg</em>

<em></em>

Explanation:

Diameter of the spherical balloon d = 9 m

radius r = d/2 = 9/2 = 4.5 m

The volume pf the sphere balloon ca be calculated from

V = \frac{4}{3} \pi r^3

V = \frac{4}{3}* 3.142* 4.5^3 = 381.75 m^3

Temperature of the gas T = 20 °C = 20 + 273 = 293 K

Pressure of the helium gas = 200 kPa = 200 x 10^3 Pa

number of moles n = ?

Using

PV = nRT

where

P is the pressure of the gas

V is the volume of the gas

n is the mole number of the gas

R is the gas constant = 8.314 m^3⋅Pa⋅K^−1⋅mol^−1

T is the temperature of the gas (must be converted to kelvin K)

substituting values, we have

200 x 10^3 x 381.75 = n x 8.314 x 293

number of moles n  = 76350000/2436 = <em>31342.36 moles</em>

We recall that n = m/MM

or m = n x MM

where

n is the number of moles

m is the mass of the gas

MM is the molar mass of the gas

For helium, the molar mass = 4 g/mol

substituting values, we have

m = 31342.36 x 4

m = 125369.44 g

m =<em> 125.369 kg</em>

3 0
3 years ago
What can be used to measure the alcohol content in gasoline? A. Graduated cylinder B. Electronic tester C. Scan tool D. Either a
Dovator [93]

Answer:

GRADUATED CYLINDER

Explanation:

4 0
3 years ago
Other questions:
  • A circuit has a 24 volt battery and a resistor that is 8 ohms. How many amps are running through the circuit?
    6·1 answer
  • Which of the following is used as part of a four-wheel drive system? A. Front drive axles B. Transfer Case C. Front Drive Shaft
    10·1 answer
  • Develop an E-R model (E-R Diagram) for the application belowDatabase RequirementsLogin
    12·1 answer
  • Catch of the day:
    9·2 answers
  • The supplement file* that enclosed to this homework consists Time Versus Force data. The first column in the file stands for tim
    13·1 answer
  • A compound cylinder is formed by shrinking a tube of 250 mm internal diameter and 25 mm wall thickness onto another tube of 250
    12·1 answer
  • A hypothetical metal alloy has a grain diameter of 1.7 102 mm. After a heat treatment at 450C for 250 min, the grain diameter ha
    8·1 answer
  • 1. Discuss how products incorporate aesthetic design and why this appeals to target markets 2. Discuss how the universal design
    15·1 answer
  • A heating torch is usually referred to as what?<br><br> Stick<br> Flower<br> Rose-bud<br> Lighter
    15·2 answers
  • Multiple Choice
    15·1 answer
Add answer
Login
Not registered? Fast signup
Signup
Login Signup
Ask question!