Answer: The second one
Step-by-step explanation:
That's the only set where there is only one output for every input.
g(x) = (1/4)x^2 . correct option C) .
<u>Step-by-step explanation:</u>
Here we have ,
and we need to find g(x) from the graph . Let's find out:
We have ,
. From the graph we can see that g(x) is passing through point (2,1 ) . Let's substitute this point in all of the four options !
A . g(x) = (1/4x)^2
Putting (2,1) in equation g(x) = (x/4)^2 , we get :
⇒ 
⇒ 
Hence , wrong equation !
B . g(x) = 4x^2
Putting (2,1) in equation g(x) = 4x^2 , we get :
⇒ 
⇒ 
Hence , wrong equation !
C . g(x) = (1/4)x^2
Putting (2,1) in equation g(x) = (1/4)x^2 , we get :
⇒ 
⇒ 
Hence , right equation !
D . g(x) = (1/2)x^2
Putting (2,1) in equation g(x) = (1/2)x^2 , we get :
⇒ 
⇒ 
Hence , wrong equation !
Therefore , g(x) = (1/4)x^2 . correct option C) .
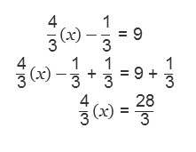
Answer:
Solve in terms of the arbitrary variable x . x = 5 5 = − 2
Step-by-step explanation:
4 squared + b squared = 8 squared
No it's a lot easier to use percent equation because it's easier to correct if wrong and you can get a better understanding of percent equation.