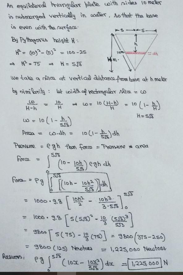
Answer: 
Step-by-step explanation:
As per given , we have
n = 11

Since population standard deviation is missing, so we use t-test.
Critical t-value for 99% confidence :
[using two-tailed t-value table]
Confidence interval :

Hence, 99% confidence interval for the mean amount of time that students spend in the shower each day.= 
Answer:
She will earn 1,920 points. PLEASE GIVE BRAINLIEST!!!
Step-by-step explanation:
Level 1 : 15 points x 2 = level 2
Level 2 : 30 points x 2 = level 3
Level 3: 60 points x2 = level 4
Level 4: 120 points x2 = level 5
Level 5: 240 points x2 = level 6
Level 6: 480 points x2 = level 7
Level 7: 960 points x2 = level 8
Level 8: 1,920 points
Answer:
$7.50
Step-by-step explanation:
<u>If she is not a member:</u>
to print 350 pictures, she will pay 0.2 * 350 = $70
<u>If she IS a member:</u>
to print 350 pictures, she will pay 0.15(350) + 10 = $62.5
THus, the amount she saves is 70 - 62.5 = $7.50
Answer:
c 11.25 I think is correct