Answer:

Step-by-step explanation:
÷ 
<em>Since we are dividing by a fraction, we switch </em>
<em>to it's reciprocal</em>.
<em>Doing that would make it </em>
x
. In other words, that is<em> </em>
x
.
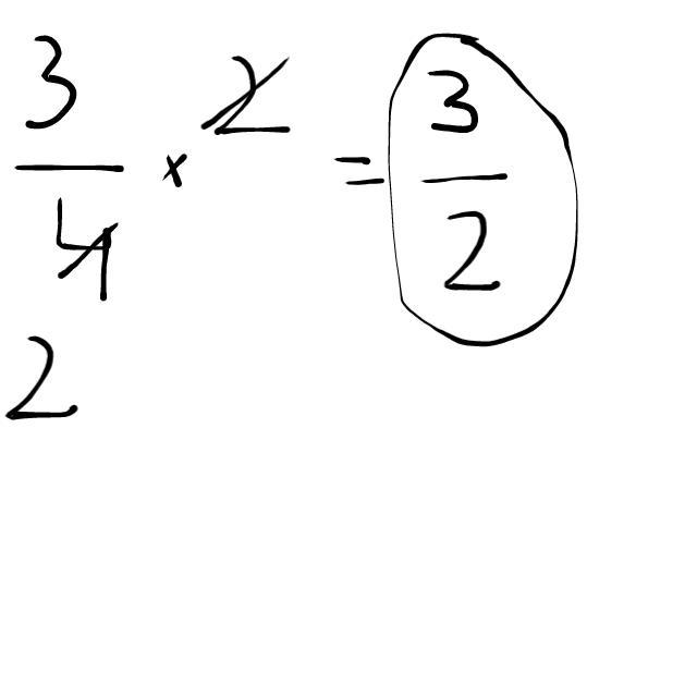
We can use cross multiplying to simplify/solve for it.
(Look at the image to see the cross multiplying).
Therefore, the answer is
.