Answer:
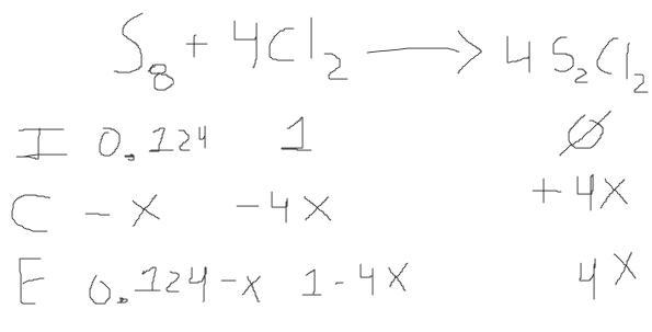
ICE Table Figure
a. 67.37 g 
b. 35.62 g 
c. 58.61 g
Explanation:
For the <u>ICE table </u>we have to keep in mind that we have 4 moles of
and 1 mol of
and the reactives are consumed, so for
we will have -4X and for
we will have -X. Follow the same logic we will have -4X for
.
a. <u>Mass of the product</u>
Molar mass of
= 256.52 g/mol
Molar mass of
=70.9 g/mol
Molar mass of
=135.03 g/mol
We have to find the limiting reagent in the reaction:



Divide by the coefficients in the balanced reaction:


The limiting reagent would be 
Now is posible to calculate the amount of
produced:

b. <u>Mass in excess</u>


C. <u>87%Yield</u>
