1answer.
Ask question
Login Signup
Ask question
All categories
  • English
  • Mathematics
  • Social Studies
  • Business
  • History
  • Health
  • Geography
  • Biology
  • Physics
  • Chemistry
  • Computers and Technology
  • Arts
  • World Languages
  • Spanish
  • French
  • German
  • Advanced Placement (AP)
  • SAT
  • Medicine
  • Law
  • Engineering
Dmitry_Shevchenko [17]
3 years ago
9

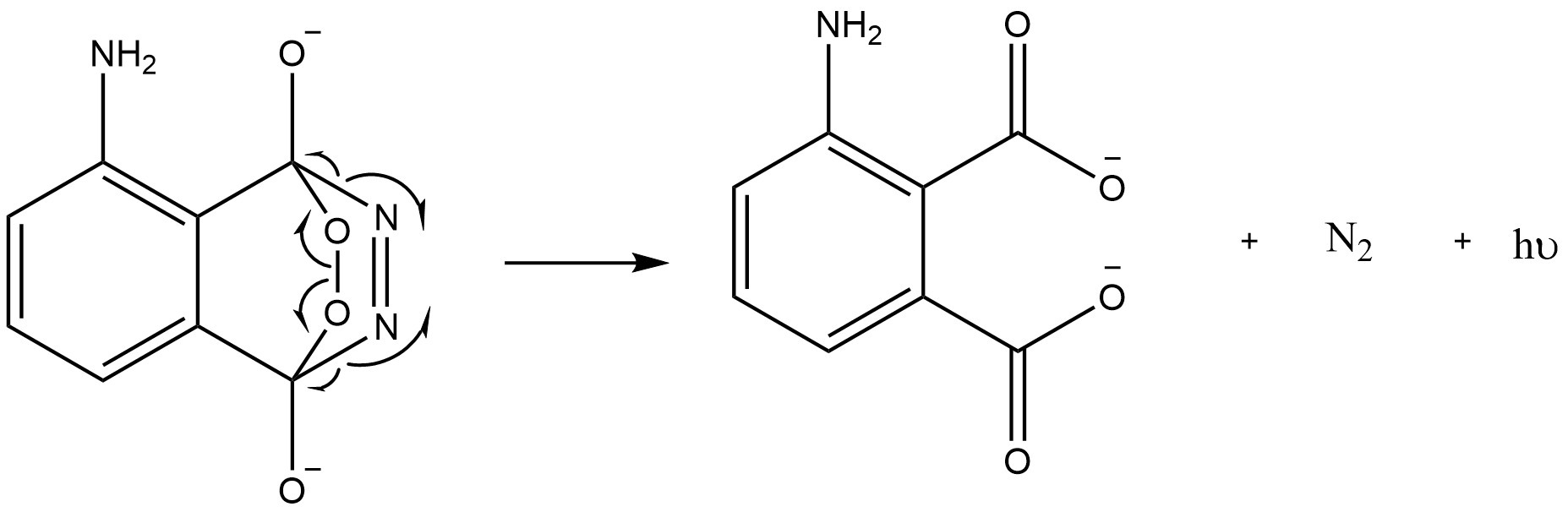
What is the common name of the reaction between o2 and the dianion of luminol?

Chemistry
2 answers:
olga nikolaevna [1]3 years ago
8 0
This reaction is called as <span>Chemiluminescence. A type of reaction in which light is produced due to chemical reaction. While in case of Phosphorescence and Fluorescence light is emitted due to absorption of photons.

When dianion of luminol is reacted with Oxygen, a unstable peroxide is formed, and elimination of Nitrogen gas takes place with the de-excitation of electrons from higher state to ground state and the energy is released in the form of Blue Light. </span>

kati45 [8]3 years ago
8 0

Luminol is an organic compound which, when oxidized, emits light — a phenomenon known as chemiluminescence. This is similar to the reactions that fireflies uses to emit light, and to those used in "glow-sticks" and some roadside emergency lights.

In this reaction, a small amount of luminol (3-aminophthalhydrazide or 5-amino-2,3-dihydro- 1,4-phthalazinedione) is dissolved in a basic aqueous solution, which also contains a small amount of copper(II) sulfate. To this solution is added a solution of a mild oxidizing agent

You might be interested in
You weigh a 24K gold chain and find that it weighs 400 grams. Determine home many moles of gold atoms you have
makkiz [27]

Answer:

                     2.03 moles of Gold

Explanation:

                     Gold is one of the most precious metal metal used in many applications and mainly as a jewellery. In terms of purity it is categorized in Karats. 24 Karat is considered the purest Gold (i.e. 100 % Gold) while other Karats (14, 18, 22 e.t.c) are alloys with other metals and gyms.

Data Given:

                 Mass of Gold  =  400 g

                 A.Mass of Gold  =  196.97 g.mol⁻¹

Calculate Moles of Gold as,

                              Moles  =  Mass ÷ M.Mass

Putting values,

                              Moles  =  400 g ÷ 196.97 g.mol⁻¹

                              Moles  =  2.03 moles of Gold

4 0
3 years ago
Which one of these best defines climate
lisabon 2012 [21]

Answer:

Long term condition of the atmosphere

Explanation:

I think this is right.

I hope this helps! (✿◕‿◕✿)

3 0
3 years ago
Which element would you expect to have properties similar to Chlorine (Cl)
jeyben [28]

Answer:

Iodine

Explanation:

It's in the same group as chlorine.

5 0
4 years ago
Henry finds an element that is light blue, breaks easily in his hand, and does not reflect light. How should Henry classify the
pshichka [43]

Answer:

The options are not given, here are the options.

metal

a. Metal

b. a metalloid

c. a non-metal

d. a gas

The correct option is C.

Non metal

Explanation:

Henry should classify it as non metals because non metals are substances or elements that are poor conductors of heat and electricity they break easily I .e meaning they lack the ducibility of metals, meaning they cannot be stretched, they are brittle, they are not shiny and does not reflect light, they have high electronegativities that is they have atoms that can hold electrons to what they have.

4 0
3 years ago
Which area would you expect to have more rain? An area that has very low humidity An area that is located near mountains An area
iogann1982 [59]
An area with a very high humidity because the humidity is so much the condenastion going into the clouds cant hold all the evaporation thats happening so fast 
8 0
3 years ago
Other questions:
  • The empirical formula of a compound is CH. At 200 degree C, 0.145 g of this compound occupies 97.2 mL at a pressure of 0.74 atm.
    11·1 answer
  • Which reaction follows the law of conservation of matter?
    10·1 answer
  • How many electrons does a single hydrogen gain or lose in the following reaction? H 2 + O 2 → H 2 O
    14·2 answers
  • The recommended daily intake of potassium ( K ) is 4.725 g . The average raisin contains 3.513 mg K . Fill in the denominators o
    9·1 answer
  • In the Lewis structure for a molecule, one of the nitrogen atoms shares six electrons with a carbon atom and has two electrons t
    14·1 answer
  • Purification of copper can be achieved by electrorefining copper from an impure copper anode onto a pure copper cathode in an el
    8·1 answer
  • What is the energy of an electron in the hydrogen atom determined by?
    12·1 answer
  • Which of the following compounds would you expect to be an electrolyte?
    11·1 answer
  • Describe are seasons like near the equator.
    9·1 answer
  • What is the concentration in milligrams per milliter of a solution containing 23.5 meq sodium chlorise per milliliter? mw nacl =
    6·1 answer
Add answer
Login
Not registered? Fast signup
Signup
Login Signup
Ask question!