1answer.
Ask question
Login Signup
Ask question
All categories
  • English
  • Mathematics
  • Social Studies
  • Business
  • History
  • Health
  • Geography
  • Biology
  • Physics
  • Chemistry
  • Computers and Technology
  • Arts
  • World Languages
  • Spanish
  • French
  • German
  • Advanced Placement (AP)
  • SAT
  • Medicine
  • Law
  • Engineering
Paul [167]
3 years ago
5

Z(aq)0+x+x The amount of solid that dissolves is called the molar solubility, denoted here by x. Since the concentration of the

solid is constant and is not included in the Ksp expression, the equilibrium expression for the reaction is Ksp=[Y][Z], or, in terms of molar solubility, Ksp=x2. Part A Enter the the Ksp expression for the solid AB2 in terms of the molar solubility x.

Chemistry
2 answers:
Zinaida [17]3 years ago
6 0

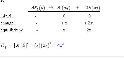
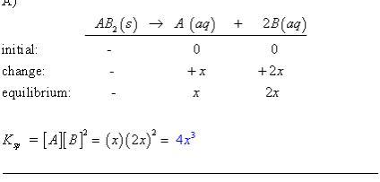
Answer:

4x^3

Explanation:

The molar solubility is the number of moles that can be dissolved per liter of a solution until the solution becomes saturated.

In order to get the molar solubility of a given equation, we have to saturate the the solution until it is fully saturated.

Take a look at the attached file for detailed solution of the given problem.

monitta3 years ago
3 0

Answer:

4x^3

Explanation:

Solubility product constant is usually written as (Ksp). It is defined for equilibrium between a solids and its respective ions in a solution. Its value indicates the degree to which a compound dissociates into ions in water. The higher the solubility product constant, the more soluble the compound.

Solubility of a solute is defined as the maximum amount of solute that can be dissolved in a solvent at equilibrium while the solubility product constant (Ksp) describes the equilibrium between a solid and its constituent ions in a solution.

For AB2(s)< -------> A(aq) + 2B(aq). But solubility of AB2= x

Ksp= x × (2x)^2

Ksp= 4x^3

You might be interested in
PLEASE I NEED THIS ANSWERED ASAP
kherson [118]
The answer would be: 
A. Cancel out CO because it appears as a reactant in one intermediate reaction and a product in the other intermediate reaction.

In this question, there are two half-reaction equations. To merge them up, you need to add the reactant with the reactant, then the product with the product. If there is a molecule on both side, you can cancel them. The full reaction would be:

C+ 1/2 O2 + CO + 1/2O2 ==>CO+ CO2       -----> remove CO from both side
C+ O2 ==>CO2
7 0
4 years ago
1 point
kykrilka [37]

Answer:

Al + O2 ------> Al + 2O

Explanation:

hope this helps :)

7 0
3 years ago
When 2.36g of a nonvolatile solute is dissolved in 100g of solvent, the largest change in freezing point will be achieved when t
nignag [31]

Answer:

Option c → Tert-butanol

Explanation:

To solve this, you have to apply the concept of colligative property. In this case, freezing point depression.

The formula is:

ΔT = Kf . m . i

When we add particles of a certain solute, temperature of freezing of a solution will be lower thant the pure solvent.

i = Van't Hoff factor (ions particles that are dissolved in the solution)

At this case, the solute is nonvolatile, so i values 1.

ΔT = Difference between  fussion T° of pure solvent - fussion T° of solution.

T° fussion paradichlorobenzene = 56 °C

T° fussion water = 0°

T° fussion tert-butanol = 25°

Water has the lowest fussion temperature and the paradichlorobenzene has the highest Kf. But the the terbutanol, has the highest Kf so this solvent will have the largest change in freezing point, when all the molalities are the same.

3 0
4 years ago
Which one is the least dangerous to humans?
3241004551 [841]

Answer:

A is correct

I guess

Explanation:

hope this helps

7 0
3 years ago
The diaphragm adjusts the ____________ on a light microscope.
kykrilka [37]
Is used to vary the intensity and size of the cone of light that is projected upward into the slide
5 0
3 years ago
Read 2 more answers
Other questions:
  • The subgroup that comes after genus is-
    11·2 answers
  • Which gas will diffusion faster within a system?
    12·1 answer
  • Working on-board a research vessel somewhere at sea, you have (carefully) isolated 12.5 micrograms (12.5 ×10–6 g) of what you ho
    12·1 answer
  • Draw structural formula of a tertiary alcohol with the formula C4H8O.
    9·1 answer
  • What is the molarity of a 50.0 mL solution that contains 0.0350 mol of sodium sulfate, Na2SO4?
    8·1 answer
  • Which metal ion was green when placed in the fire?
    15·1 answer
  • What is the substance that is formed when the acid react with bases in a neutralization reaction?​
    14·2 answers
  • How is heat transferred when a person holds an ice pack?
    11·1 answer
  • Write all of the allowed sét of quantum numbers for a 3p orbital
    8·1 answer
  • WILL MARK AS BRAINLIEST IF CORRECT
    15·2 answers
Add answer
Login
Not registered? Fast signup
Signup
Login Signup
Ask question!