Mass and volume are two factors that affect that density of matter!
I believe this is a double replacement. As you can see none of the chemical symbols are missing, there just "replaced".
Answer: The correct option is B.
Explanation: This is an example of radioactive decay and all the radioactive decay processes follow First order of kinetics.
Expression for the half life of first order kinetics is:

We are given:

Putting in above equation, we get:

Expression to calculate the amount of sample which is unchanged is:

where,
N = Amount left after time t
= Initial amount
k = Rate constant
t = time period
Putting value of k = 0.05625 and t = 24.6 in above equation, we get:


The above fraction is the amount of sample unchanged and that is equal to 
Hence, the correct option is B.
It’s Tin (II) Phosphate!! (Hope this helps!)
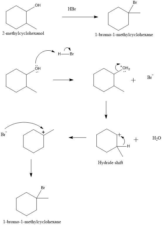
Answer:
Sn1 mechanism reaction
Explanation:
In this case, we have to start with the <u>protonation</u> of the "OH" group by the attack of the lone pairs in the alcohol group to the "H" in the HBr producing a <u>positive charge in the oxygen</u>. Then, water is produced and a <u>carbocation</u> is generated. This carbocation can be stabilized by a <u>hydride shift</u>. We can move a hydrogen atom to the positive charge and we will obtain a <u>tertiary carbocation</u>. Finally, the
will attack to produce the final <u>halide</u>.
See figure 1.
I hope it helps!