Answer:
Step-by-step explanation:
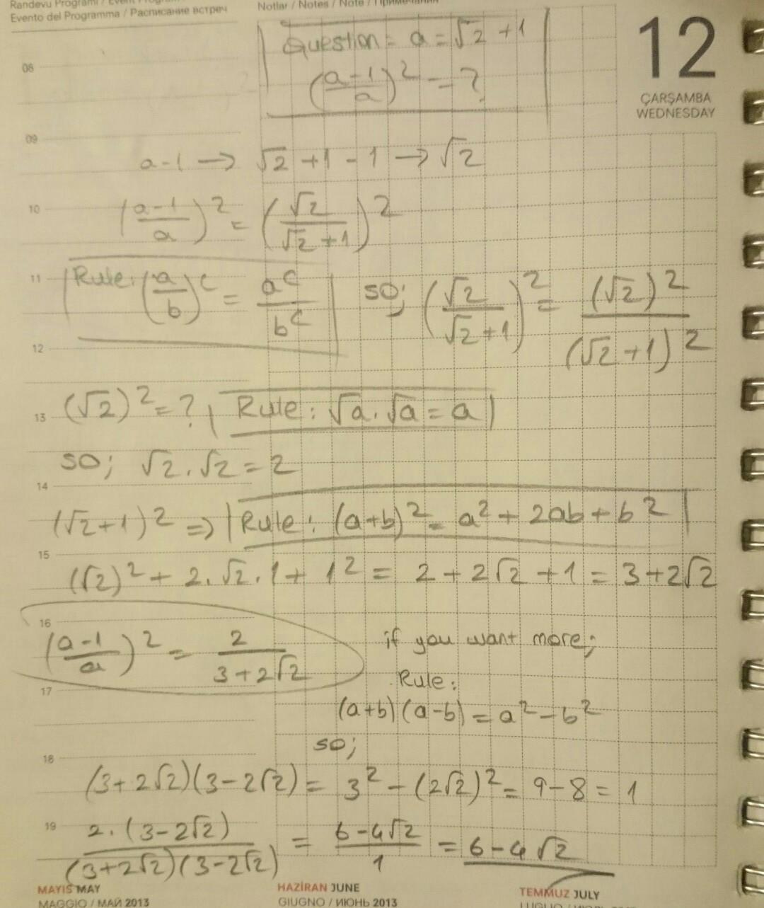
Let us assume that we are asked to find the value of:
[ (a − 1) / a] ² ;
Given: " a = √2 + 1 " ;
Substitute this value for "a" into the given expression.
Start with " (a − 1) " ;
→ " √2 + 1 − 1 = √2 " .
_______________________
Then, the denominator is: "a" ; so we plug in: "√2 + 1 " ; for "a" ;
→ [ (a − 1) / a] ² ;
= {√2 / (√2 -1)]²
=
;
Note: Start with the "numerator" :
"
. "
Then, continue with the "denominator":
"
" ;
_______________________________________
;
________________________________________
→ 
→ Use the "FOIL" method (<u>F</u>irst, <u>O</u>uter, <u>I</u>nner, and <u>L</u>ast terms, in that Order; then, combine the "like forms" to simply:
<u>F</u>irst terms: √2*√2 = + 2 ;
<u>O</u>uter terms: √2* -1 = -1√2 ;
<u> I</u>nner terms: -1 * √2 = -1√2 ;
<u> L</u>ast terms: -1 * -1 = +1 ;
______________________________
Now, write these terms down in order:
+2 -1√2 - 1√2 + 1 ;
Now, combine the "like terms:
-1√2 - 1√2 = - 2√2 ;
_____________
+ 2 + 1 = 3 .
So; we have: - 2√2 + 3 ; for the denominator.
The answer is: 2/ (-2√3 + 3) ;
or, write as: 2/ (3 - 2√3).
So, the answer is: 2 /