Answer:
The y-intercept of the equation of the line is 20.
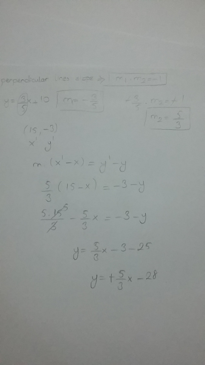
Step-by-step explanation:
The equation of given line is

It is a slope intercept form of a line (y=mx+b), where m is slope and b is y-intercept.
The slope of the line is

The product of slopes of two perpendicular lines is -1.



The slope of required line is
and it is passing through the point (15,-5).
The point slope form of a line is




The slope intercept form of required line is
.
Therefore y-intercept of line is 20.