Answer:
The time spent studying is the response variable.
Step-by-step explanation:
The response variable, also known as the dependent variable is the main question which the experiment wants to provide an answer for. Usually, the predictors determine or affect the response variable. In the study where Teresa investigates the effect of grade level on time spent studying, the response variable is the time spent studying, while the predictor which is the grade level provides an explanation as to the time spent studying.
The changes or variations on time spent studying depends on the grade level. This means that the grade level provides an explanation of the length of time dedicated to studying.
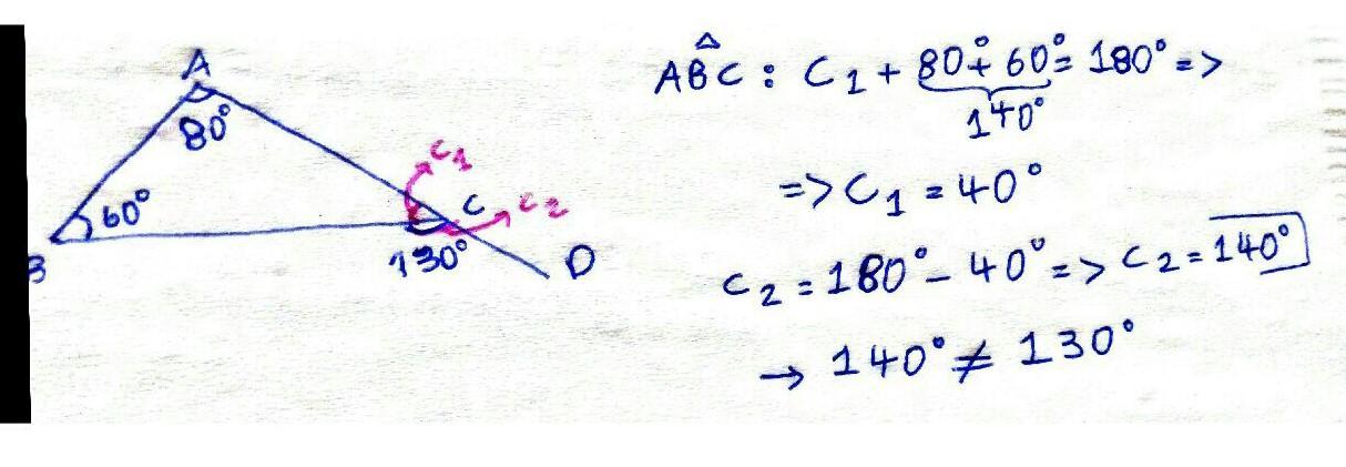
Answer:
C , 6/15
Step-by-step explanation:
Hope it helps !!:)
Answer: 
Step-by-step explanation:
Since you did not indicate what you need to do, I assume that you have to write an expression using the sentence given in the problem.
In order to solve this exercise, it is importat to remember the following information:
1. The quotient is the result of a division.
2. The sum is the result of an addition.
3. The word "twice" indicates a multiplicatio by 2.
4. The word "cube" indicates an exponent 3.
Then, keeping on mind the explained above and the data given in the exercise, you know that:
-The sum of
and
can be expressed as:

- Twice the cube of
can be expressed in the following form:

Therefore, you can dermine that "the quotient of the sum of
and
and twice the cube of
" is represented with the following expression:

O
It’s 25.5 because since 25 off of 100 equals 75, you times the 34 by .75
Answer:
1443
Step-by-step explanation:
666+777=1443