1answer.
Ask question
Login Signup
Ask question
All categories
  • English
  • Mathematics
  • Social Studies
  • Business
  • History
  • Health
  • Geography
  • Biology
  • Physics
  • Chemistry
  • Computers and Technology
  • Arts
  • World Languages
  • Spanish
  • French
  • German
  • Advanced Placement (AP)
  • SAT
  • Medicine
  • Law
  • Engineering
Mkey [24]
3 years ago
11

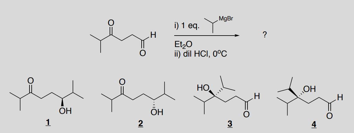
Hi guys, if you could help me on this question? Which number is the right answer?

Chemistry
1 answer:
Ksivusya [100]3 years ago
7 0

Answer:

If my memory serves me correctly, the answer would be OPTION 3

Explanation:

May I have brainliest please? :)

You might be interested in
Draw the product formed when 2-butanol undergoes reaction with TsCl and Et3N. CH3C6H4SO2Cl.
Pie

Answer:

Explanation:

In organic chemistry, the reaction between 2-butanol with TsCl and Et3N is known as the tosylation of the alcohol hydroxyl group. Alcohol is being changed to tosylate by the use of tosyl chloride under the influence of a base. Tosylation of alcohol is an example of a nucleophilic substitution reaction. From the image attached below, we will see how the reaction between 2-butanol proceed into the product by using tosyl chloride and a base(Et3N).

4 0
4 years ago
(0904) How many atoms are there in 56.2 grams of Krypton, Kr?
Luba_88 [7]

Answer:

56.2÷6.02×10^23

=9.34×10^23

Explanation:

Divide the given mass of the atom by the mass of an Atom (the avogadro's constant) to find the number of atoms in the given mass.

8 0
3 years ago
Hc1 is the formula for .
PIT_PIT [208]

Answer:

HCl is the formula for Hydrochloric acid

Explanation:

  • Chemical formula is a formula of a compound showing the symbols of elements present in the compound.
  • Chemical formula also shows the number of atoms of each element present in a compound.
  • HCl is the chemical formula of hydrochloric acid. From this formula we can tell that hydrochloric acid is made up of hydrogen and chlorine elements.
  • The formula also shows that HCl contains 1 hydrogen atom and 1 chlorine atom.
5 0
3 years ago
Which of the following is most likely to be covalent?<br> MgO <br> CO <br> CaO <br> BaO
Kisachek [45]

Answer:

CaO

Explanation:

CaO is the only compound that is a non-metal and a non-metal. The rest of the compounds are ionic, or metal and non-metal.

8 0
3 years ago
What is the [OH-] if the [H3O+] is 1 x 10 -6?
Mariulka [41]

The answer is [OH⁻] = 1 x 10⁻⁸.

To find OH⁻, divide the ionic product of water by [H₃O⁺] as :

<u>OH⁻ + H₃O⁺ = H₂O</u>

<u />

  • [OH⁻] = 1 x 10⁻¹⁴ / 1 x 10⁻⁶
  • [OH⁻] = 1 x 10⁻⁸
5 0
2 years ago
Other questions:
  • What is the date of discovery of element Mercury
    7·2 answers
  • Select all of the statements that are true about a buffer solution. Select one or more: a. A buffer solution reacts with basic s
    7·1 answer
  • Fluorine (F) and bromine (Br) are in the same group on the periodic table. How do atoms of these elements compare when they form
    14·1 answer
  • High-purity benzoic acid (C6H5COOH; ΔHrxn for combustion = −3227 kJ/mol) is used as a standard for calibrating bomb calorimeters
    5·1 answer
  • Will give medal! What is the reason the group 13 metals have a typical charge of 3+?
    11·1 answer
  • Consider a mixture of two gases, A and B, confined in a closed vessel. A quantity of a third gas, C, is added to the same vessel
    7·1 answer
  • For the following reaction, 4.77 grams of carbon (graphite) are allowed to react with 16.4 grams of oxygen gas.
    14·1 answer
  • 7. Aluminum, iron, copper, and oxygen are all examples of which of the following?​
    8·1 answer
  • A small container of perfume is opened in a classroom. Soon every student in the room smells the perfume. Explain this in terms
    14·1 answer
  • The molar solubility of cui is 2. 26 × 10-6 m in pure water. Calculate the ksp for cui.
    12·1 answer
Add answer
Login
Not registered? Fast signup
Signup
Login Signup
Ask question!