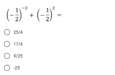
Answer:
Step-by-step explanation:
Take this one thing at a time...baby steps to help us keep our sanity. Math does tend to drive a person around the bend...
The first term is the tricky one. If the exponent is negative, it can be rewritten as a positive by putting whatever the exponent is on under a 1. For example:

So we'll use that to make this simpler.
Squaring that negative makes it a positive, so we can rewrite as
which simplifies to
What we have there is a fraction over a fraction; namely:
and the rule for that is to bring the bottom fraction up, flip it and multiply:
×
which is 4.
Now for the second part. All we are doing here is squaring that fraction. Remember that squaring a negative makes it a positive, so
. Now we'll put these together to get the sum
and with a common denominator of 4, this becomes
and that equals
, the seond choice down.