1answer.
Ask question
Login Signup
Ask question
All categories
  • English
  • Mathematics
  • Social Studies
  • Business
  • History
  • Health
  • Geography
  • Biology
  • Physics
  • Chemistry
  • Computers and Technology
  • Arts
  • World Languages
  • Spanish
  • French
  • German
  • Advanced Placement (AP)
  • SAT
  • Medicine
  • Law
  • Engineering
USPshnik [31]
3 years ago
5

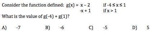
Help with this please!,

Mathematics
1 answer:
Lina20 [59]3 years ago
4 0

Answer:

-6

Step-by-step explanation:

g(-4) here x = -4

So, we have to take g(x) = x - 2

g(-4) = -4 -2 = - 6

g(1) , here x = 1 ,

So, we have to take g(a)= -x +1

g(-1) = -1 + 1 = 0

g(-4) + g(-1) = -6 +0 = -6

You might be interested in
Simplify and write the answer in exponential form. 3^4 x 3^5 a.) 3^9
givi [52]

Answer:

<h3>(a) 3^9</h3>

Step-by-step explanation:

<h3> IN EXPONNETIAL FORM :</h3>

<h3>– (a^m× a^n) = (a^m+n)</h3>

<h3>3^4 × 3^5 = 3^4+5 = </h3>

<h2>3^9 </h2>

<h3 />
5 0
3 years ago
What is the equation of the line that passes through the point (6,4) and has a slope of -2/3
Aleksandr [31]

Answer:

using the given points substitute it into the equation y=mx+c

therefore

y=4

m=-2/3

X=6

c=?

so we should c=intercept

Step-by-step explanation:

y=mx+c

4=-2/3(6)+c

4=-4+c

c=4+4=8

therefore equation of the graph is y=-2/3X+8

4 0
3 years ago
Please help me with this. thank you. :)
Vinvika [58]

Answer:

11,550

Step-by-step explanation:

1200- 675( because its descending) + 250 ( its ascending) - 525 = 11,550

8 0
2 years ago
Answer please? 50 pts
Lady_Fox [76]

Answer:

It was a

Step-by-step explanation:

3 0
3 years ago
Read 2 more answers
Consider triangle PQR. What is the length of side QR?
Inessa [10]

Answer:

Its 16 units!

Step-by-step explanation:

I did thee test on edge :)

6 0
3 years ago
Read 2 more answers
Other questions:
  • I need help with fractions :(
    13·2 answers
  • Juan and his friends played a game in which sticky darts were thrown onto a playing board. To start the game, Juan threw a dart
    15·2 answers
  • Suppose 2 circles are constructed. Under what conditions do the circles have 1 point in common, 2 points in common, no points in
    13·1 answer
  • X-3y=7 and 2x-6y=12 solving by elimination
    8·1 answer
  • WILL GIVE BRAINLIEST! the sum of seven consecutive integers is zero. what is the value of the smallest integer?
    13·1 answer
  • Which number is not in scientific notation?
    8·2 answers
  • Which numbers are perfect squares? Check all that apply.
    10·2 answers
  • Solve using the quadratic formula.
    10·1 answer
  • Kareem borrowed money from a credit union for 6 years and was charged simple interest at an annual rate of 8%. The total interes
    10·1 answer
  • The midpoint of AB is M(1, 1). If the coordinates of A are (3, -3), what are the coordinates of b
    6·1 answer
Add answer
Login
Not registered? Fast signup
Signup
Login Signup
Ask question!