Perimeter of the triangle, a+b+c
In this case, a=b=c=28
So, perimeter would be 28*3 = 84 cm
Answer:
B. The graph is linear and has an equation of y = -x + 18
Step-by-step explanation:
if the equation was y = -2x + 18 then the graph would look like a staircase and the graph looks linear
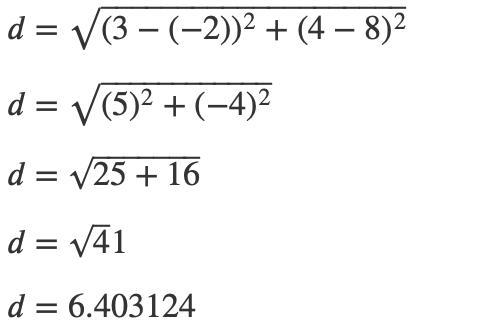
Answer:


Step-by-step explanation:
We know the definition of both functions:
, and 
A) In order to evaluate what
, let's first investigate what g(-1) is using the definition for this function:

Now let's find what f(2) is using f(x) definition: 
B) In order to evaluate what
, let's first investigate what f(3) is using the definition for this function:

Now let's find what g(7) is using the definition for this function:

Answer: the line goes the way the arrow is pointing.
Step-by-step explanation:
9<-18 It’s goes <<<< that way. Towards The -19