1answer.
Ask question
Login Signup
Ask question
All categories
  • English
  • Mathematics
  • Social Studies
  • Business
  • History
  • Health
  • Geography
  • Biology
  • Physics
  • Chemistry
  • Computers and Technology
  • Arts
  • World Languages
  • Spanish
  • French
  • German
  • Advanced Placement (AP)
  • SAT
  • Medicine
  • Law
  • Engineering
Elodia [21]
3 years ago
5

Which is the BEST example of something that has kinetic energy?

Chemistry
2 answers:
Vesnalui [34]3 years ago
8 0
A tennis ball rolling across the court
drek231 [11]3 years ago
4 0

Answer:

i am sure its the last one

You might be interested in
List two non-metal elements that combine with three hydrogen atoms to satisfy the octet rule
viva [34]
  • Nitrogen as in NH₃.
  • Phosphorous as in PH₃.
<h3>Explanation</h3>

Hydrogen is in group 1. It is one electron away from the next noble gas element. It would form one single covalent bond when it bonds to nonmetals.

A nonmetal atom will gain three extra electrons when it bonds to three hydrogen atoms. For the molecule to be stable, that nonmetal atom should be three electrons away from the next noble gas element. Each of the atoms in question should contain 8 - 3 = 5 valence electrons when neutral. Which column on a periodic table contains such elements?

3 0
3 years ago
Read 2 more answers
What is the molar mass of (NH4)3 PO3?
vladimir1956 [14]
133.0873 g/mol

(NH4)3PO3 - molar mass
7 0
3 years ago
Read 2 more answers
_ g of potassium reacts with 16 g of oxygen to produce 94 g of potassium oxide
natali 33 [55]
Due to the law of conservation of mass, _g K + 16g O=94g KO.
So, 94-16=78
78 is your answer
5 0
3 years ago
Read 2 more answers
What type of bonding occurs in a sample of pure barium, Ba? In other words, how is one barium atom held to another barium atom?
Irina-Kira [14]

Answer:metallic bond

Explanation:

The metallic bond consists of a layer of valence electrons electrostatically attracted to positive metal ions. Hence in a metal such as barium, electrons bind the metal ions together in the metallic crystal lattice of the element.

6 0
3 years ago
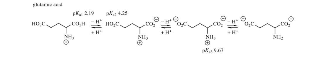
. The pI is called ________________. The rule of calculating pI of an amino acid is that first, write the dissociation equation
umka21 [38]

Answer:

The isoelectric point is that the <u>pH </u>at which the compound is in an electronically neutral form.

For diss equations<u>, p</u>lease find them in the enclosed file.

The pIs of 2 amino acids:

  • Glutamate: pI = 3,2
  • Histidine: pI = 7,6

Explanation:

Formula for the pI calculation: pI = (pKa1 + pKa2)/2

Given 3 pKa :

  • Acid glutamic with an acid sidechain:

Use the lower 2  pKas (corresponding with 2 -COOH groups)

pKa1 = 2,19; pKa2 = 4,25; so pI = 3,2

  • Histidine with 2 amino groups:

Use the higher 2 pKas ( -COOH group and -NH= group)

pKa1 = 6; pKa2 = 9,17; so pI = 7,6

6 0
4 years ago
Other questions:
  • Which of the following depends on an object's displacement not distance from the starting point?
    11·1 answer
  • Arrange the following elements in order of decreasing electronegativity:
    15·1 answer
  • Which of the following elements are in the same period in the periodic table?
    15·1 answer
  • The rate consnt for a reaction is measured as a function of temperature. A plot of ln k versus 1/T is linear and has s slope of
    15·1 answer
  • What is the most appropriate way to find the density of irregularly shaped objects?
    8·1 answer
  • what will happen if potato strips are placed in a solution of the same concentration as the content of the potato
    10·1 answer
  • An atom of which element has the strongest attraction for electrons in a chemical bond?
    8·1 answer
  • An avocado has a mass of 215 g and a density of 0.86<br> g/mL. What is the volume of the avocado?
    10·1 answer
  • What are the components of our solar system?
    10·1 answer
  • List 4 ways that exercise affects the circulatory system and the respiratory system? Give me a good answer please
    14·1 answer
Add answer
Login
Not registered? Fast signup
Signup
Login Signup
Ask question!