Answer:
MY friend has already described the purpose of projectile motion so I will quickly go through the uses of each equation ...
Explanation:
TIME OF FLIGHT = it is given as 2Usin tita/g...it is the total time taken to and fro...it is 2x of the time taken ....
TIME taken ..t= Usin tita / g.....is the time taken to reach the maximum height which is 1/2 the TOTALTIME OF FLIGHT GIVEN ABOVE ..
MAXIMUM HEIGHT: the maximum height is the height attained by the projectile when projected ...it is calculate using the formula = U^2 sin^2 tita / 2g
Range =Search Results
Featured snippet from the web
View all
An object launched into projectile motion will have an initial launch angle anywhere from 0 to 90 degrees. The range of an object, given the initial launch angle and initial velocity is found with: R=v2isin2θig R = v i 2 sin 2 θ i g .
Answer:
yhgigy6ftu5cg l8vbbnnbbgtccccvhklhaywje nc 62bbnzmakbdbvfvdbf93bdldmffmfkqhdv
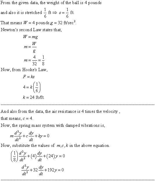
Answer:
See attached pictures.
Explanation:
See attachments for explanation.
Answer:
-30° C
Explanation:
Data provided in the problem:
The formula for conversion as:
F = (9/5)C + 32
Now,
for the values of F = -22 , C = ?
Substituting the value of F in the above formula, we get
-22 = (9/5)C + 32
or
-22 - 32 = (9/5)C
or
(9/5)C = - 54
or
C = - 54 × (5/9)
or
C = - 30 °
Hence, -22 Fahrenheit equals to -30°C
Answer:
<h3>The answer is 30 g/mL</h3>
Explanation:
The density of a substance can be found by using the formula

From the question we have

We have the final answer as
<h3>30 g/mL</h3>
Hope this helps you