1answer.
Ask question
Login Signup
Ask question
All categories
  • English
  • Mathematics
  • Social Studies
  • Business
  • History
  • Health
  • Geography
  • Biology
  • Physics
  • Chemistry
  • Computers and Technology
  • Arts
  • World Languages
  • Spanish
  • French
  • German
  • Advanced Placement (AP)
  • SAT
  • Medicine
  • Law
  • Engineering
tamaranim1 [39]
3 years ago
7

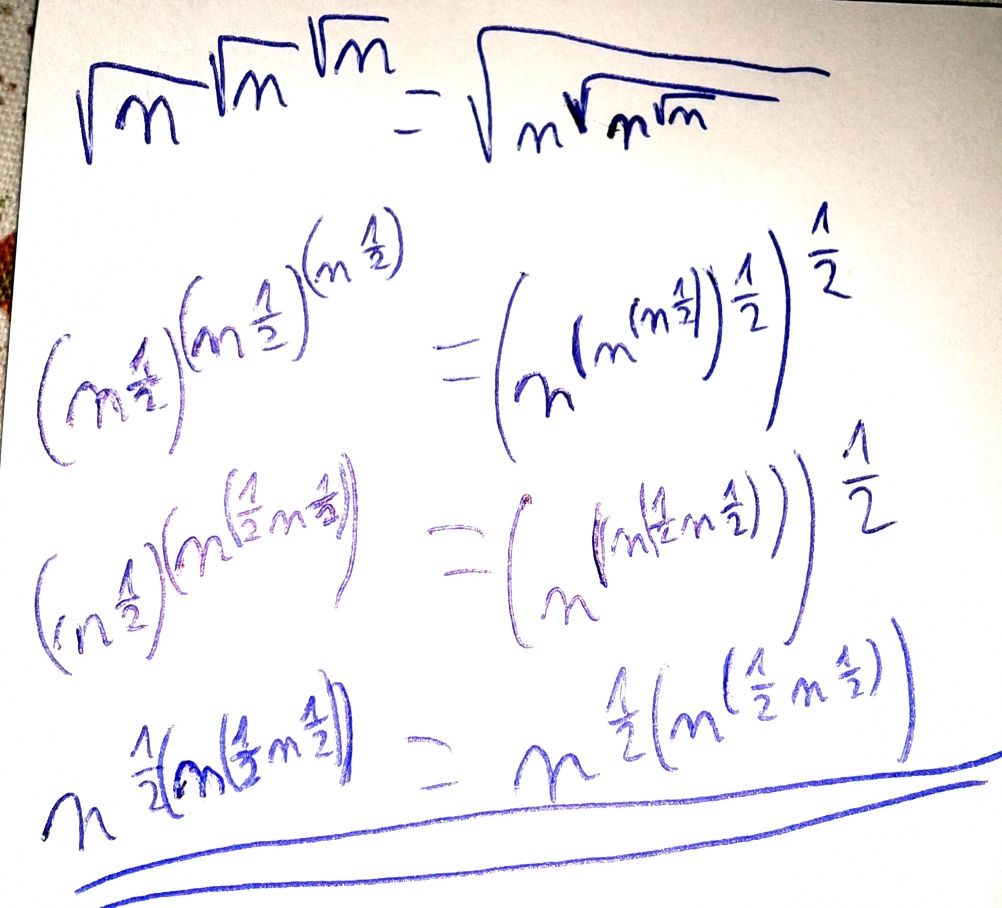
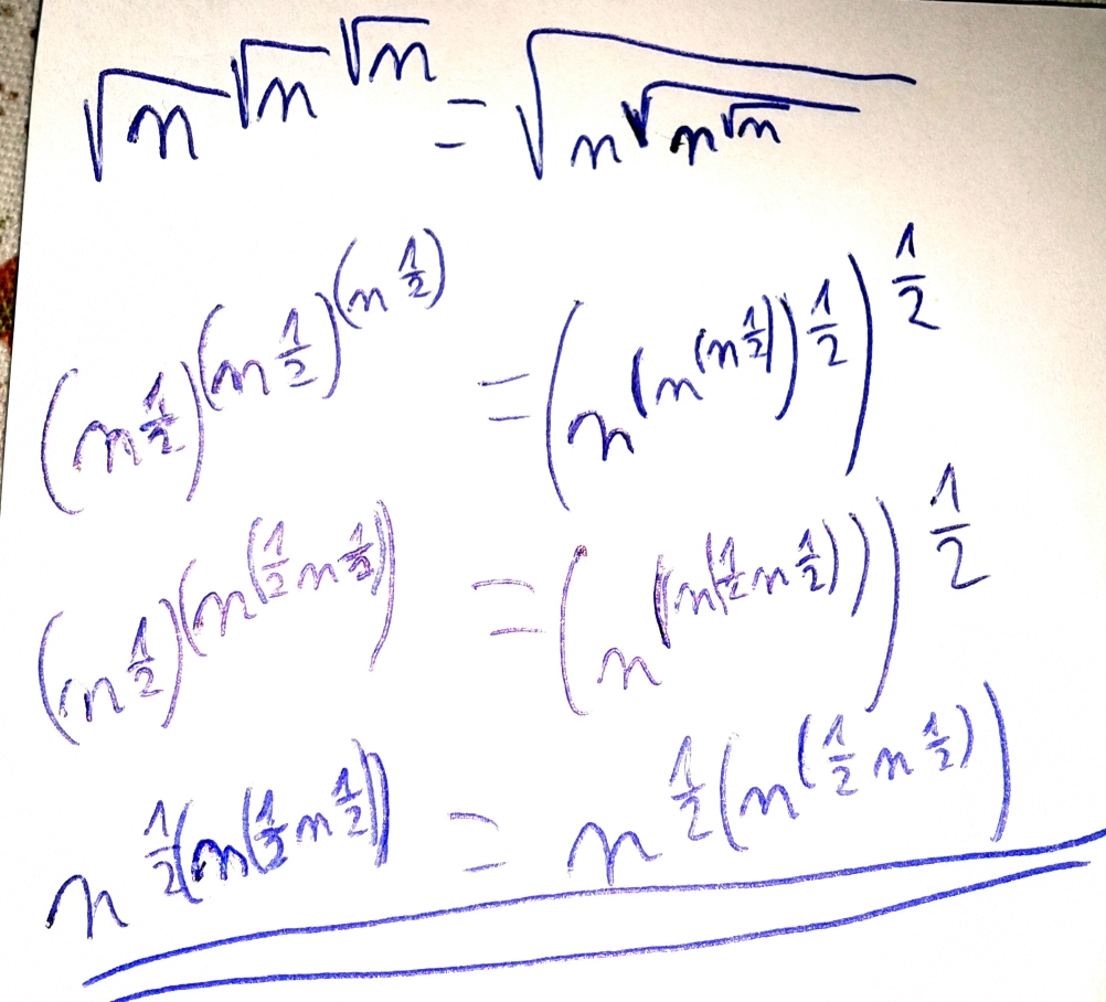
Prove that:

Mathematics
1 answer:
sveticcg [70]3 years ago
6 0
Sorry for the quality :D

You might be interested in
Sofia cuts a piece of felt in the shape of a kite for an art project. The top two sides measure 20 cm each and the bottom two si
Phantasy [73]

x + y  = 24       where x and y are the 2 parts of diagonal Other diagonal wil be smaller that 24. 
x^2 + z^2 = 13^2
y^2 + z^2  = 20^2            where z  = 0.5 * length of smaller diagonal)

form last 2 equations

y^2 - x^2  = 20^2 - 13^2  =  231
 now y = 24-x so we have

(24 - x)^2    - x^2 = 231

576 - 48x = 231

48x = 345

x =  7.1875

z^2  =  13^2 - 7.1875^2 =  117.34
z =  1.83

so smaller diagonal = 21.66 cm


looks like its the third choice.



5 0
3 years ago
A coat costs £56 in the sale after a 20% discount. What was the original price?
Arturiano [62]

Answer:

£70

Step-by-step explanation:

y×0.8=56

56/0.8= 70

70×0.8=56

you're just reversing the discount :)

5 0
3 years ago
Read 2 more answers
I want to put 1/2 of a banana in each sack lunch. If I have
Karolina [17]

Answer:

18 sack lunches.

Step-by-step explanation:

You want 1/2 bananas and you have 9.

9 / 1/2 = 9 x 2 = 18 lunches.

5 0
3 years ago
Select the correct answer. A simulated game of chess is programmed between two computers. The game is supposed to be biased in f
pishuonlain [190]

Answer:

C is the most suspicious set.

Step-by-step explanation:

We would expect that B wins 4/5 * 30 =  24 games.

In set  A,  B  wins 23 games.

In B, B wins 24 games.

In C, B wins  15 games.

In D, B wins 25 games.

So  result C is very suspicious.

7 0
3 years ago
Read 2 more answers
A store sells both cold and hot beverages. Cold beverages, c, cost $1.50, while hot beverages, h, cost $2.00. On Saturday, drink
Marina86 [1]
2h + 4h  (1.5c) = 360 so option b is correct.
3 0
3 years ago
Read 2 more answers
Other questions:
  • Please help :( real quick
    8·1 answer
  • Simplifying an algebra -3(y+2)
    8·1 answer
  • When 6r − 17r = -66 is solved, the result is: A. 6 B. -6 C. -11 D. 11
    6·2 answers
  • Need answer as soon as possible.​
    12·1 answer
  • Which is the better buy: one gallon of orange juice for $2.72 or four quarts of
    9·1 answer
  • Which is the equation of the line with slope o passing through the point (-3, 6)?
    7·1 answer
  • Combine like terms to simplify the expression, 5y + 8x - y + 12x
    12·1 answer
  • Can someone help me with my homework its experimental and theorectical probability
    15·2 answers
  • Can someone help like what is this, how do you even do this
    9·1 answer
  • -12 ÷ 3• (-8 + (-4)2 -6) +2<br> Please help
    10·2 answers
Add answer
Login
Not registered? Fast signup
Signup
Login Signup
Ask question!