Answer:
8 rabbits
22 chickens
Step-by-step explanation:
c = chickens
r = rabbits
heads - c + r = 30
legs - 2c + 4r = 76
We can now use these two equations to create one by isolating the variable (c) in the first equation.
c = 30 - r
2c + 4r = 76
2(30 - r) + 4r = 76
60 - 2r + 4r = 76
2r = 16
r = 8
Now we know that there are 8 rabbits, which means that there has to be 22 chickens in order to have 30 heads.
Answer:
See below.
Step-by-step explanation:
Infinite Solutions:

No Solutions:

Answer:
natural
Step-by-step explanation:
i used to do this so im geusing natural
Answer:
314
Step-by-step explanation:
This is because the area is r^2*3.14
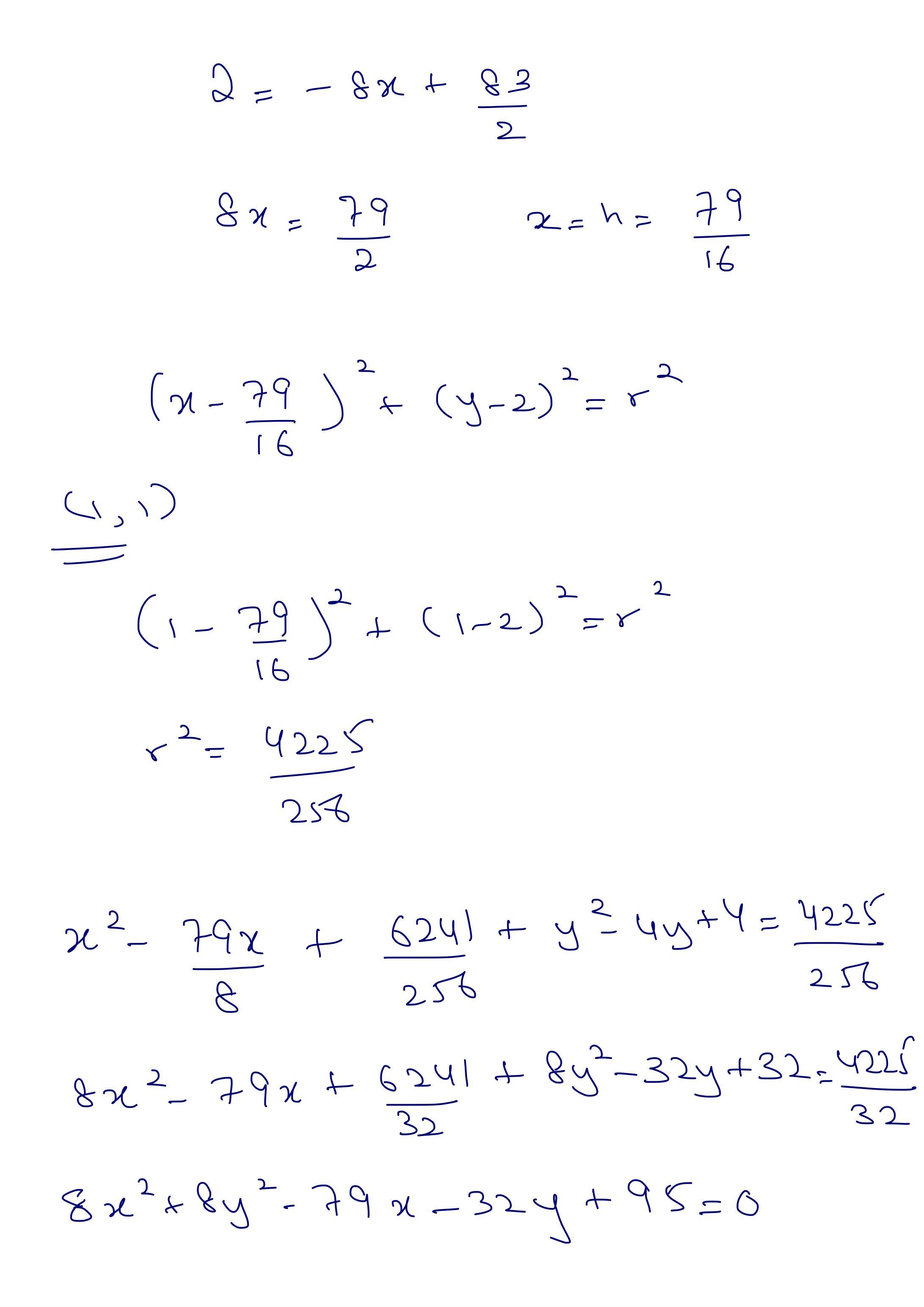
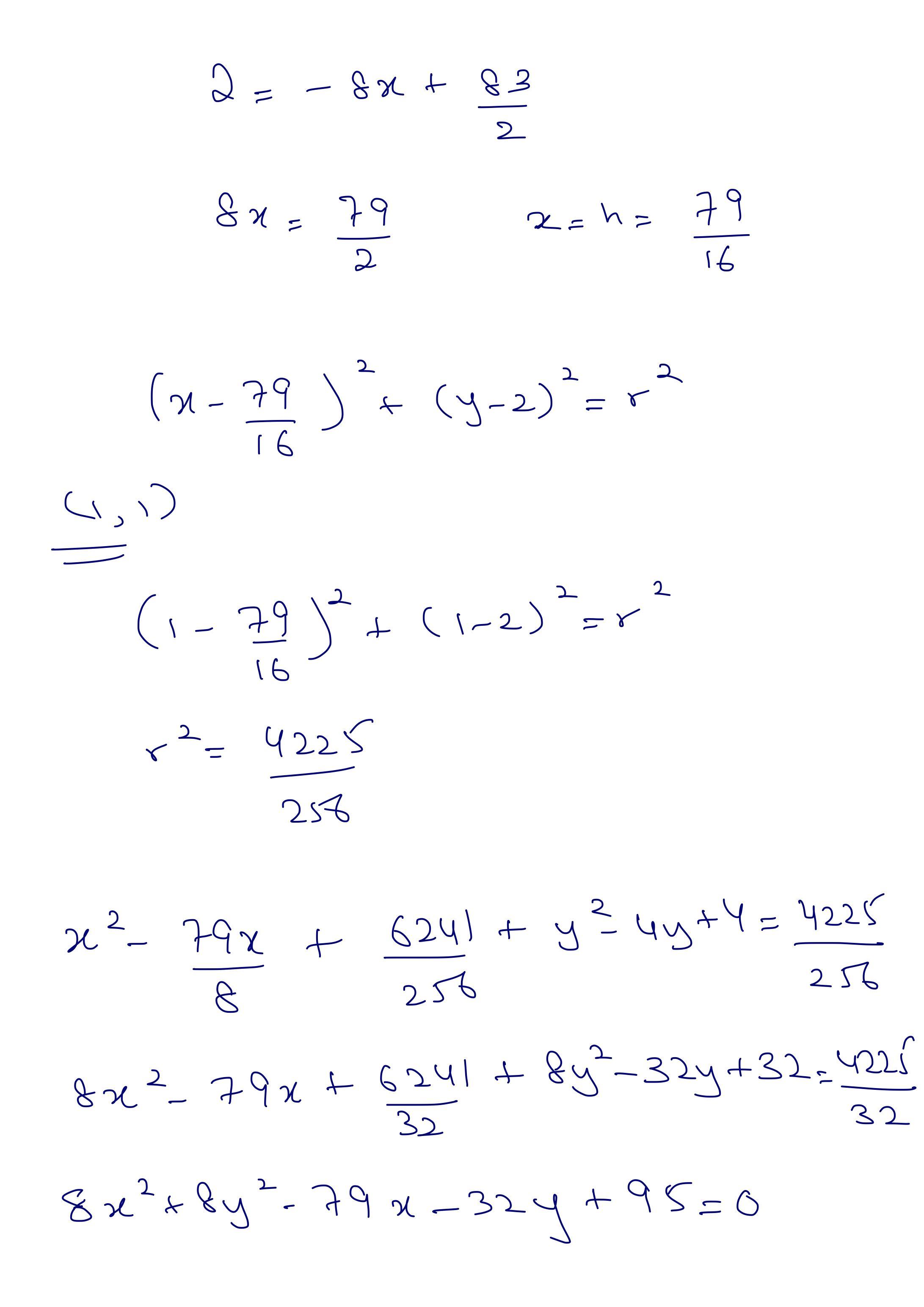
Check the picture below, so the parabola looks more or less like so, hmmm with a vertex at (-1 , -4), so, using those values from the table
![~~~~~~\textit{vertical parabola vertex form} \\\\ y=a(x- h)^2+ k\qquad \begin{cases} \stackrel{vertex}{(h,k)}\\\\ \stackrel{"a"~is~negative}{op ens~\cap}\qquad \stackrel{"a"~is~positive}{op ens~\cup} \end{cases} \\\\[-0.35em] \rule{34em}{0.25pt}](https://tex.z-dn.net/?f=~~~~~~%5Ctextit%7Bvertical%20parabola%20vertex%20form%7D%20%5C%5C%5C%5C%20y%3Da%28x-%20h%29%5E2%2B%20k%5Cqquad%20%5Cbegin%7Bcases%7D%20%5Cstackrel%7Bvertex%7D%7B%28h%2Ck%29%7D%5C%5C%5C%5C%20%5Cstackrel%7B%22a%22~is~negative%7D%7Bop%20ens~%5Ccap%7D%5Cqquad%20%5Cstackrel%7B%22a%22~is~positive%7D%7Bop%20ens~%5Ccup%7D%20%5Cend%7Bcases%7D%20%5C%5C%5C%5C%5B-0.35em%5D%20%5Crule%7B34em%7D%7B0.25pt%7D)
![\stackrel{vertex}{\stackrel{h}{-1}~~,~~\stackrel{k}{-4}}\qquad \implies y=a[x-(-1)]^2-4\implies y=a(x+1)^2-4 \\\\\\ \textit{we also know that} \begin{cases} x=2\\ y=14 \end{cases}\implies 14=a(2+1)^2-4\implies 18=9a \\\\\\ \cfrac{18}{9}=a\implies 2=a~\hspace{10em}\boxed{y=2(x+1)^2-4}](https://tex.z-dn.net/?f=%5Cstackrel%7Bvertex%7D%7B%5Cstackrel%7Bh%7D%7B-1%7D~~%2C~~%5Cstackrel%7Bk%7D%7B-4%7D%7D%5Cqquad%20%5Cimplies%20y%3Da%5Bx-%28-1%29%5D%5E2-4%5Cimplies%20y%3Da%28x%2B1%29%5E2-4%20%5C%5C%5C%5C%5C%5C%20%5Ctextit%7Bwe%20also%20know%20that%7D%20%5Cbegin%7Bcases%7D%20x%3D2%5C%5C%20y%3D14%20%5Cend%7Bcases%7D%5Cimplies%2014%3Da%282%2B1%29%5E2-4%5Cimplies%2018%3D9a%20%5C%5C%5C%5C%5C%5C%20%5Ccfrac%7B18%7D%7B9%7D%3Da%5Cimplies%202%3Da~%5Chspace%7B10em%7D%5Cboxed%7By%3D2%28x%2B1%29%5E2-4%7D)