A formula for the number of possible combinations or <em>r</em> objects from a set of <em>n</em> objects is

where n is 25 and r is 12. The number of ways is 5,200,300.
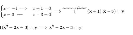
Answer:
Step-by-step explanation:
y - 5 = 8
y = 13
Answer:
(A) The quantities form a proportional relationship for both peaches and plums.
Step-by-step explanation:
Answer:
I did on your other question with the same problem so look there
Step-by-step explanation:
Answer:
5:00 pm
Step-by-step explanation:
Let
x -----> the umber of hours
y ----> the total distance in miles
we know that
The distance is equal to the speed multiplied by the time
Find out the distance traveled by Ariel at 11:00 am
11:00 am-09:00 am=2 hours
45(2)=90 miles
so
<em>Ariel's linear equation is</em>
----> equation A
<em>Ariel's brother linear equation is</em>
----> equation B
Equate equation A and equation B

Solve for x



Adds 11:00 am + 6 hours=17:00 =5:00 pm