1answer.
Ask question
Login Signup
Ask question
All categories
  • English
  • Mathematics
  • Social Studies
  • Business
  • History
  • Health
  • Geography
  • Biology
  • Physics
  • Chemistry
  • Computers and Technology
  • Arts
  • World Languages
  • Spanish
  • French
  • German
  • Advanced Placement (AP)
  • SAT
  • Medicine
  • Law
  • Engineering
Anestetic [448]
3 years ago
7

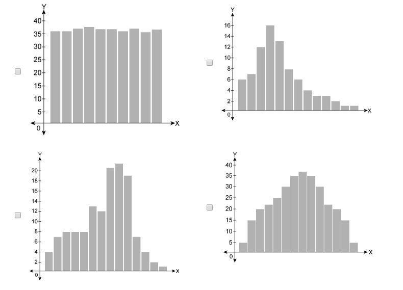
For which distributions is the median the best measure of center?

Mathematics
1 answer:
alisha [4.7K]3 years ago
5 0

I think these two are the right answer.

You might be interested in
Tan(-100°) = _____<br><br> -tan80°<br> tan80°<br> tan(-80°)
Anni [7]

Answer:

-tan80°

Step-by-step explanation:

8 0
3 years ago
Read 2 more answers
Can you guys help me :/
kozerog [31]
I am dumb so no heheheheeheh
6 0
3 years ago
Plz Help! 30 Points!
Ira Lisetskai [31]
45.2 is the constant hope this helps! please give branliest
4 0
3 years ago
Read 2 more answers
Which decimal is equivalent to 13 over 9
DaniilM [7]

i believe 1.44444444444

5 0
3 years ago
Read 2 more answers
HELP PLEASE 30 POINTS!!​
Naya [18.7K]

Answer:

p - w = $25 OR w + $25 = p

Step-by-step explanation:

pencil = p

pen = w

p - w = $25 OR w + $25 = p

4 0
3 years ago
Other questions:
  • A 12-oz can of soda pop costs eighty-nine cents. a 2.00 l bottle of the same variety of soda pop costs $2.29. how many times mor
    6·1 answer
  • Tom makes 8 loaves of blueberry bread.He uses 1/2 cup of blueberries in each loaf. How many cups of blueberries dose he use for
    10·1 answer
  • Find a numerical value “a” and “b” in the figure below
    11·1 answer
  • What are the solutions of -x^2 -2=0
    12·1 answer
  • Penny solved an equation by subtracting 6 from each side of the equation and then dividing each side by 5.
    15·1 answer
  • Please help me the first person gets brainlest
    8·2 answers
  • Jackson’s car was making a rumbling noise for two weeks. He decided to take it to the mechanic to get it checked out. To diagnos
    7·1 answer
  • The question is in the picture.
    11·1 answer
  • List the following rational numbers in order from least to greatest.<br><br>5/4, 56%, 1.07, 4/5​
    6·1 answer
  • The width of a rectangle is 4 units shorter than three-fourths the length; x. Write an expression that represents the perimeter
    14·1 answer
Add answer
Login
Not registered? Fast signup
Signup
Login Signup
Ask question!