1answer.
Ask question
Login Signup
Ask question
All categories
  • English
  • Mathematics
  • Social Studies
  • Business
  • History
  • Health
  • Geography
  • Biology
  • Physics
  • Chemistry
  • Computers and Technology
  • Arts
  • World Languages
  • Spanish
  • French
  • German
  • Advanced Placement (AP)
  • SAT
  • Medicine
  • Law
  • Engineering
pishuonlain [190]
3 years ago
15

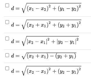
PLEASE HELP!!! Select all the equations that represent the distance formula.

Mathematics
1 answer:
Aleonysh [2.5K]3 years ago
4 0

Answer:

A is the answer

Step-by-step explanation:

You might be interested in
Is each expression algebraic or numerical<br> a. 7/2 <br> b. 4m + 6 <br> c. 2(5 - 4)
kicyunya [14]
A is numerical
b is algebraic
c is numerical
4 0
4 years ago
Find the value of the variables please please help me out I will mark you the brainly! Please please
RSB [31]

Answer:

m = 54

Step-by-step explanation:

The secant- secant angle 20° is half the difference of the intercepted arcs, that is

\frac{1}{2} (160 - 2m - 12) = 20° ( multiply both sides by 2 to clear the fraction )

- 2m + 148 = 40° ( subtract 148 from both sides )

- 2m = - 108 ( divide both sides by - 2 )

m = 54

4 0
3 years ago
Read 2 more answers
1 2
Simora [160]
I’m not sure I’m going to look for it on the internet for you buddy because I don’t know yet
6 0
3 years ago
Identify the slope and y-intercept of the linear equation: y = -2x - 4​
Maurinko [17]

Answer:

Slope: -2

Y-intercept: -4

Step-by-step explanation:

Hope this helps. Pls give brainliest.

3 0
3 years ago
Read 2 more answers
There is a 70% chance of rain tomorrow and a 20% chance that the volleyball game will be postponed. What is the probability that
OleMash [197]

Answer:

The correct option is A. 14%

Step-by-step explanation:

There is a 70% chance of rain tomorrow

⇒ The probability that it will rain tomorrow = 0.7

There is a 20% chance that the volleyball game will be postponed

⇒ The probability that the volleyball game will be postponed = 0.2

Now, We need to find the probability that it will rain tomorrow and the volleyball game will be postponed

⇒ The probability that it will rain tomorrow and the volleyball game will be postponed = Probability that it will rain × Probability that the volleyball game will be postponed

⇒ The probability that it will rain tomorrow and the volleyball game will be postponed = 0.7 × 0.2

⇒ The probability that it will rain tomorrow and the volleyball game will be postponed = 0.14

⇒ The probability that it will rain tomorrow and the volleyball game will be postponed = 0.14 × 100

⇒ The probability that it will rain tomorrow and the volleyball game will be postponed = 14%

Thus, the correct option is A. 14%

6 0
4 years ago
Other questions:
  • Help pls. need this question answered asap
    10·1 answer
  • Ben is 20 years older than Daniel. Ben and Daniel first met two years ago. Three years ago, Ben was 33 times as old as Daniel.
    6·2 answers
  • Someone please help me
    15·1 answer
  • Solve each system of equations by adding.
    15·1 answer
  • (2.5x-9)+6x=-7
    11·2 answers
  • Negative one-fifth of a number, increased <br> by 3, is at most 1.
    13·1 answer
  • Stephanie and 2 friends went to Vancouver for a winter weekend. Stephanie made 7 cups of apple cider. Everyone, including, Steph
    12·2 answers
  • In a cookie jar there are 9 sugar cookies and 12 snickerdoodle cookies. The cookie are randomly mixed together in the jar. What
    10·1 answer
  • Brainlist
    14·2 answers
  • Write a polyomial equation of degree 4 that has the following roots: -1 repeated three times and 4.
    15·1 answer
Add answer
Login
Not registered? Fast signup
Signup
Login Signup
Ask question!