Answer: 9 (w + 8)
Step-by-step explanation:
9/9 = 1
72/9 = 8
9 (w + 8)
Answer:
option 4) x = 14 y = 7
Step-by-step explanation:
We are given a side angle and a side length so we can use trigonometry to find the solution
To find x we can use sine because the given side length is opposite to the angle so,
sin(60) = 
solve for x and you get 14 (make sure you check that your calculator is in degrees)
for either use Pythagorean theorem or remove sine by tangent.
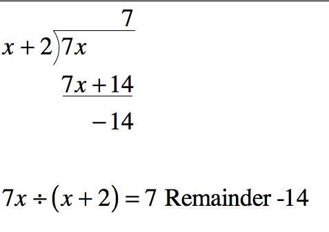
Answer:
7 R -14
Step-by-step explanation:
The answer to what? there is no question attached
Answer:
D
Step-by-step explanation:
The area (A) of a trapezoid is calculated as
A = 0.5h(a + b)
where h is the perpendicular height and a, b the parallel sides.
Given A = 120, then
0.5 × 8(a + b) = 120, that is
4(a + b) = 120 ( divide both sides by 4 )
a + b = 30 cm → D