1answer.
Ask question
Login Signup
Ask question
All categories
  • English
  • Mathematics
  • Social Studies
  • Business
  • History
  • Health
  • Geography
  • Biology
  • Physics
  • Chemistry
  • Computers and Technology
  • Arts
  • World Languages
  • Spanish
  • French
  • German
  • Advanced Placement (AP)
  • SAT
  • Medicine
  • Law
  • Engineering
Alex_Xolod [135]
4 years ago
12

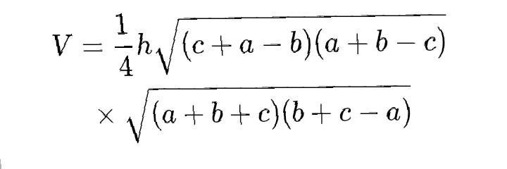
Help MATH find the volume?

Mathematics
1 answer:
Zepler [3.9K]4 years ago
5 0

Answer: 4910.4 cu. yards

Step-by-step explanation:

See attached formula where

a, b and c are 18 yards each

h (height) = 35 yards

You might be interested in
A rectangle is constructed with its base on theâ x-axis and two of its vertices on the parabola yequals=2525minusâxsquared2. wha
Nina [5.8K]
You should have drawn1 - x-axis and y-axis in light pencil.2 - graphed a down-facing parabola with the top of the frown on the y-axis at y = 2.  It should be crossing the x-axis at ±√2.  This should be in dark pencil or another color.3 - In dark pencil or a completely new color, draw a rectangle with one of the horizontal sides sitting on top of the x-axis and the other horizontal side touching the parabola at each of the top corners of the rectangle. The rectangle will have half of its base in the positive x-axis and the other half on the negative x-axis.  It should be split right down the middle by the y-axis.  So each half of the base we will say is "x" units long.  So the whole base is 2x units long (the x units to the right of the y-axis, and the x units to the left of the y-axis)  I so wish I could draw you this picture...   In the vertical direction, both vertical edges are the same length and we will call that y.   The area that we want to maximize has a width 2x long, and a height of y tall. So A = 2xy     This is the equation we want to maximize (take derivative and set it = 0), we call it the "primary equation", but we need it in one variable. This is where the "secondary equation" comes in.  We need to find a way to change the area formula to all x's or all y's. Since it is constrained to having its height limited by the parabola, we could use the fact that y=2 - x2 to make the area formula in only x's.   Substitute in place of the "y", "2 - x2" into the area formula. A = 2xy = 2x(2 - x2)   then simplify A = 4x - 2x3     NOW you are ready to take the deriv and set it = 0 dA/dx = 4 - 6x2       0 = 4 - 6x2   6x2 = 4    x2 = 4/6 or 2/3 So x = ±√(2/3) Width remember was 2x.   So the width is 2[√(2/3)]Height is y which is 2 - x2 = 2 - 2/3  =4/3
6 0
4 years ago
How long is the coastline of canada
netineya [11]
All you need to do is add 12383 and 113211 to get 125594
8 0
3 years ago
PLEASE ANSWER ASASSP!!!!!!!!!!!!!!!!!!!!<br> Sovle the equation<br> 6 (y + 1.5) = -18<br> What is y?
Ede4ka [16]

Answer:

6(y+1.5)=-18

6y+9=-18 -9

6y=-27 ÷6

y=-4.5

Step-by-step explanation:

prove me wrong

7 0
3 years ago
Read 2 more answers
What is the answer to this problem? 7(g+5)=105
Liono4ka [1.6K]

Answer:

g = 10

Step-by-step explanation:

Distribute 7 to the parentheses:

7(g + 5) = 105

7g + 35 = 105

Solve for g:

7g + 35 = 105

7g = 170

g = 10

So, the answer is g = 10

3 0
3 years ago
Read 2 more answers
Julio rented a bike from Carlos' Bikes. It
anastassius [24]
5+5=10+20=30 :) that’s your answer
4 0
3 years ago
Other questions:
  • HELP ME DO A STATEMENT REASON FOR THIS PLEASE
    7·1 answer
  • What is 65% written as a fraction in simplest form
    15·1 answer
  • How did u get ur answer to this question
    10·1 answer
  • PLEASE ANSWER THIS QUICKLY I NEED THIS DONE BY 3:45!!!!!
    5·1 answer
  • <img src="https://tex.z-dn.net/?f=%5Csqrt%7B50x%7D%20%20-%20%20%5Csqrt%7B18x%7D" id="TexFormula1" title="\sqrt{50x} - \sqrt{18
    9·1 answer
  • To the nearest tent what the area of a circle whose diameter is 9 feet? Use 3.14 for x Please help :’(((( will give 25pts
    5·2 answers
  • Mike bought 7 new baseball cards to add to his collection. The next day his dog ate half of his collection. There are now only 4
    5·1 answer
  • Find wx? please help
    7·2 answers
  • Please answer!! will give brainliest
    12·2 answers
  • Which polynomial is represented by the algebra tiles?
    6·1 answer
Add answer
Login
Not registered? Fast signup
Signup
Login Signup
Ask question!