Answer:

Step-by-step explanation:
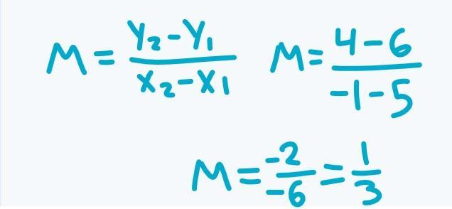
In order to find the slope of a line you must find where the points intersect, use the formula for slope, substitute values, and simplify if needed.
In this case we were already given the points for slope:


Slope formula:

Now substitute:

Solve using KCC: (Keep, Change, Change)


=
Because the slope isn't a negative you do not need to simplify the answer.
Hope this helps.
Answer:
555.94
Step-by-step explanation:
16 x 11 = 176/2
88
since there are two of the same triangle
88 x 2
176
11 is the radius
A = 

A = 3.14 ( pie is 3.14, if not then pi) x (11x11)
A = 3.14 x 121 (or 121
)
A = 379.94
379.94 + 176 (or 121pi + 176)
555.94
Answer:
The minimum sample size that can be taken is of 14 dogs.
Step-by-step explanation:
The formula for calculating the minimum sample size to estimate a population mean is given by:

The <u>first step</u> is obtaining the values we're going to use to replace in the formula.
Since we want to be 95% confident,
.
Therefore we look for the critical value
.
Then we calculate the variance:

And we have that:

<u>Now</u> we replace in the formula with the values we've just obtained:

Therefore the minimum sample size that can be taken to guarantee that the sample mean is within 2 inches of the population mean is of 14 dogs.
Have u been doing anything with Pythagorean theorem? i belive that is what u have to do
Answer:
measure of larger angle = 240 degrees
measure of each of the smaller angles = 120 degrees
Explanation:
In any polygon, the sum of measures of interior angles can be calculated using the following rule:
sum of interior angles = (n-2)*180 where n is the number of sides
Now, for an octagon, n=8, this means that:
sum of measures of interior angles = (8-2)*180 = 1080°
An octagon has 8 interior angles, one of which is twice the measure of the others.
Assume that each of the 7 smaller angles is x degrees and that the larger angle is 2x degrees
Computing their summation, we will find that:
x + x + x + x + x + x + x + 2x = 1080
9x = 1080
x = 120
This means that:
each one of the smaller angles = x = 120 degrees
the larger angle = 2x = 2 * 120 = 240 degrees
Hope this helps :)