1answer.
Ask question
Login Signup
Ask question
All categories
  • English
  • Mathematics
  • Social Studies
  • Business
  • History
  • Health
  • Geography
  • Biology
  • Physics
  • Chemistry
  • Computers and Technology
  • Arts
  • World Languages
  • Spanish
  • French
  • German
  • Advanced Placement (AP)
  • SAT
  • Medicine
  • Law
  • Engineering
Mkey [24]
4 years ago
12

A particle leaves the origin with an initial velocity v⃗ =(2.40 m/s)xˆv→=(2.40 m/s)x^ , and moves with constant acceleration a⃗

=(−1.90 m/s2)xˆ+(3.20 m/s2)yˆa→=(−1.90 m/s2)x^+(3.20 m/s2)y^ . (a) How far does the particle move in the x direction before turning around? (b) What is the particle’s velocity at this time? (c) Plot the particle’s position at t=0.500 st=0.500 s , 1.00 s, 1.50 s, and 2.00 s. Use these results to sketch position versus time for the particle.

Physics
1 answer:
shtirl [24]4 years ago
7 0

Answer:

distance stop 1.52m,

velocity  4.0 m/s y^

Explanation:

The movement of the particle is two-dimensional since it has acceleration in the x and y axes, the way to solve it is by working each axis independently.

a) At the point where the particle begins to return its velocity must be zero (Vfx = 0)

     Vfₓ = V₀ₓ + aₓ t  

     t = -  V₀ₓ/aₓ

     t = - 2.4/(-1.9)

     t=  1.26 s

At this time the particle stops, let's find his position

     X1 = V₀ₓ t + ½ aₓ t²

     X1= 2.4 1.26 + ½ (-1.9) 1.26²

     X1= 1.52 m

At this point the particle begins its return

b) The velocity has component x and y

   As a section, the X axis x Vₓ = 0 m/s is stopped, but has a speed on the y axis

    Vfy= Voy + ay t

    Vfy= 0 + 3.2 1.26

    Vfy = 4.0 m/s

the velocity is  

    V = (0 x^ + 4.0 y^) m/s

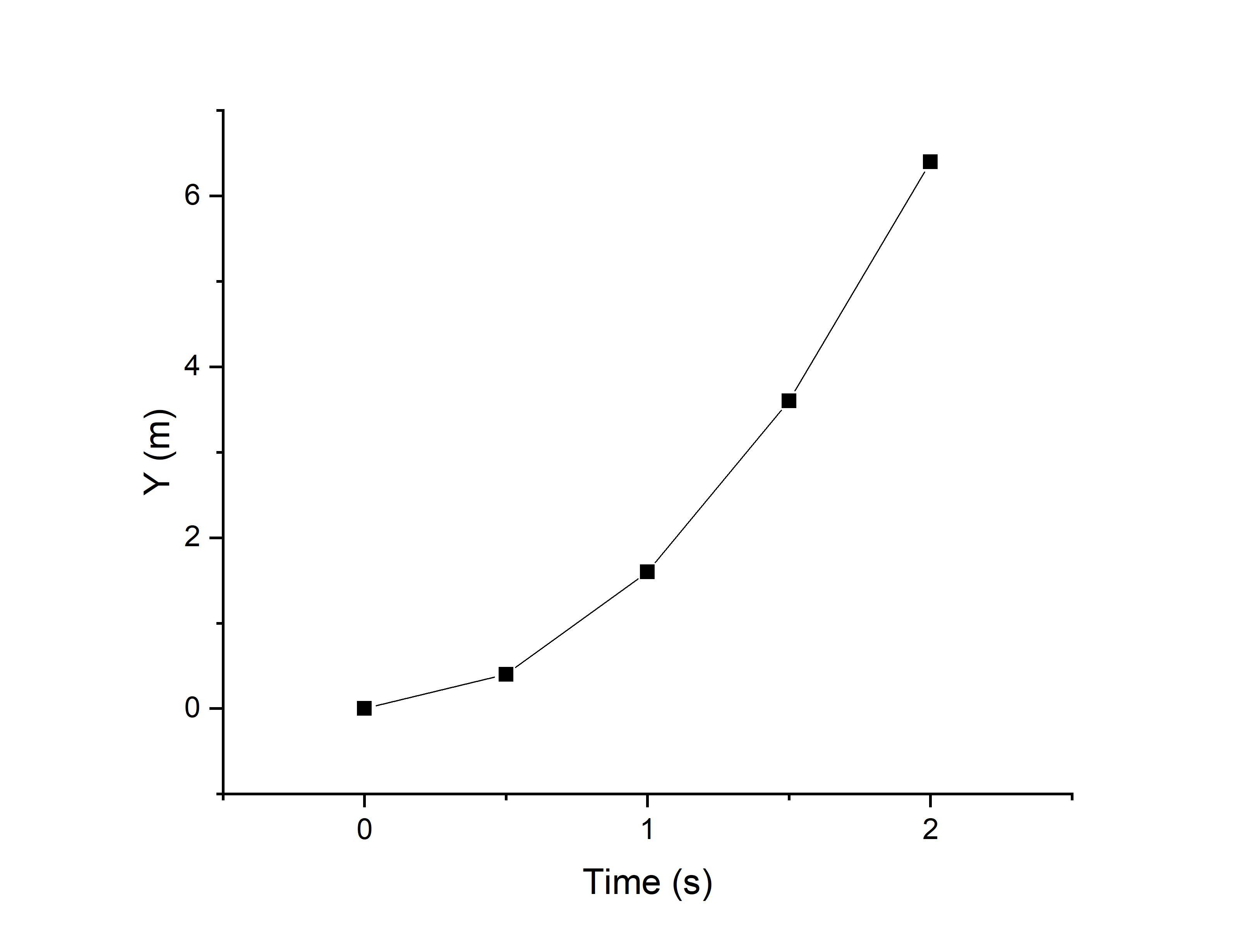
c) In order to make the graph we create a table of the position x and y for each time, let's start by writing the equations

      X = V₀ₓ t+ ½  aₓ t²

      Y = Voy t + ½  ay t²

      X= 2.4 t + ½ (-1.9) t²

      Y= 0 + ½ 3.2 t²

      X= 2.4 t – 0.95 t²

      Y=   1.6 t²

With these equations we build the table to graph, for clarity we are going to make two distance graph with time, one for the x axis and another for the y axis

                       Chart to graph

              Time (s)     x(m)            y(m)

                 0                0               0

                 0.5             0.960       0.4

          1       1.45          1.6

                 1.50      1.46      3.6

                2.00      1.00      6.4

You might be interested in
An object at rest increases its velocity to 10 m/s in 3 seconds. what is its acceleration?
Anna11 [10]

Answer:

30m

Explanation:

10m per second

there is 3 seconds

10 times 3 is 30

4 0
4 years ago
A child sits on a merry-go-round, 1.5 meters from the center. The merry-go-round is turning at a constant rate, and the child is
exis [7]

Answer:

5 .07 s .

Explanation:

The child will move on a circle of radius r

r = 1.5 m

Let the velocity of rotation = v

radial acceleration = v² / r

v² / r = 2.3

v² = 2.3 r = 2.3 x 1.5

= 3.45

v = 1.857 m /s

Time of revolution = 2π r / v

= 2 x 3.14 x 1.5 / 1.857

= 5 .07 s .

5 0
3 years ago
Why do women typically tend to have slightly greater stability than men?
Pani-rosa [81]

Women have lower centers of gravity, and lower centers of gravity provide more stability.

The correct option is C.

<h3>What is centre of gravity with example?</h3>

The location in a system or body where the weight is equally distributed and all sides are in balance is known as the center of gravity. The middle of a seesaw is an illustration of a center of gravity. the center of mass of an object in a gravitational field that is uniform.

<h3>How can you improve your center of gravity?</h3>

Training your legs and lower body is essential since they contain the biggest muscles in your body, as any competent bodybuilder or strength athlete will tell you. Exercises like squats, lunges, and calf raises should be a regular part of your workout routine if you want to reduce your center of gravity.

To know more about center of gravity visit:

brainly.com/question/17409320

#SPJ9

3 0
1 year ago
How much work is accomplished when a force of 300N pushes a box across the floor for a distance of 100 meters?
Nesterboy [21]

So the correct ans is B.

hope it helps u.

5 0
4 years ago
Read 2 more answers
How does Pascal's principle describe pressure throughout a fluid?
jarptica [38.1K]

Answer:

Uniform

Explanation:

The Pascal's principle states that a change in pressure applied to an enclosed fluid is transmitted unchanged to all parts of the fluid and to the container's wall.

This implies that there is no change in magnitude of pressure at every point of the fluid and the walls of the container. Hence you can say that pressure is equal in all directions at any point of the fluid.

8 0
3 years ago
Other questions:
  • I need answer really fast.
    15·2 answers
  • A- what constant acceleration, in SI units, must a car have to gofrom zero to 60 mph in 10 s?
    13·2 answers
  • In a simple electric generator, a conducting loop of wire is placed in a magnetic field. The loop of wire is then rotated. Why i
    10·1 answer
  • A student measures the mass of a 1.0 kg standard bar. He obtains measurements of 0.77 kg, 0.78 kg, and 0.79 kg. Which describes
    9·1 answer
  • With nonreturn to zero signaling, the voltage alternates between zero and a positive or negative voltage. True False
    7·1 answer
  • Why do we breath air?
    9·1 answer
  • When a board with a box on it is slowly tilted to a larger and larger angle, common experience shows that the box will at some p
    7·1 answer
  • What is the answers to the following questions? Help!
    12·1 answer
  • I feel death among us
    15·2 answers
  • Objects A and B, of mass M and 2M respectively, are each pushed a distance d straight up an inclined plane by a force F parallel
    14·1 answer
Add answer
Login
Not registered? Fast signup
Signup
Login Signup
Ask question!