1answer.
Ask question
Login Signup
Ask question
All categories
  • English
  • Mathematics
  • Social Studies
  • Business
  • History
  • Health
  • Geography
  • Biology
  • Physics
  • Chemistry
  • Computers and Technology
  • Arts
  • World Languages
  • Spanish
  • French
  • German
  • Advanced Placement (AP)
  • SAT
  • Medicine
  • Law
  • Engineering
Vanyuwa [196]
3 years ago
10

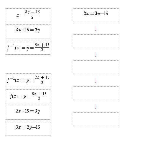
Drag each tile to the correct box. Not all tiles will be used.

Mathematics
1 answer:
svp [43]3 years ago
3 0

Answer:

Please see attached image

Step-by-step explanation:

1) Re-name f(x) as "y"

2) interchange x with y and y with x

3) now proceed to solve for y

4) Once y is isolated rename y with f^{-1}(x).

You might be interested in
An experiment is to be conducted using environmentally safe peppermint oil to study the effectiveness of deterring mice from inf
shutvik [7]

Answer:

Option E is correct.

- Treatments: how the peppermint oil is dispersed

- Experimental unit: mice

- Response variable: number of mice in the dwellings

Step-by-step explanation:

The treatments in this type of statistical experiment refers to the part of the experiment that is tweaked, controlled or varied in the cases being studied. In this experiment, the method of essential oil dispersal is what is varied in the two experimental cases of this study.

Experimental Unit refers to the subject matters, who are participants in the experiment. They are the ones that the effect of the treatments is tested upon.

For this study, the experimental units are the mice subjected to either of the two methods of peppermint oil dispersal.

The response variable is how the experimental units (participants) respond to the treatments (experimental tweaks). Or how the tweaks manifest observable results in the participants of the study. For this study, the effect of the tweaks in the mice is shown in the number of mice that remain in each dwelling (where the two methods of peppermint oil dispersal have been implemented). Hence, the response variable is the number of mice in each dwelling.

Hope this Helps!!!

5 0
4 years ago
Arithmetic sequence of -10,8,26
BlackZzzverrR [31]

Answer:

the sequence is going up by 18

5 0
3 years ago
50 km/h east is an example of
gladu [14]
Acceleration is the answer
3 0
3 years ago
Slove for g<br> 3/16= -5/4 +g
PSYCHO15rus [73]

Answer:

+g=3/16+5/4

the answer : 3/16+5/4

8 0
2 years ago
The farmer has a problem with too many mice in his barn. He brought in 363636 cats to catch the mice. Each cat caught 111 mice,
FromTheMoon [43]

Answer:

40585818

Step-by-step explanation:

thats an insane amount of anything but like, dam n

363636*111 to find out how many were caught, then that number plus 222222

6 0
3 years ago
Other questions:
  • Two teammates were comparing data from five basketball games.
    15·1 answer
  • Factor each expression. 2p³+6p²+3p+9
    9·2 answers
  • X&lt;25 true or false ? <br> 100&lt;4x<br> -3x&gt;-75<br> 10&gt;35-x<br> Are these true or false ?
    8·2 answers
  • Three friends are selling items at a bake sale. May makes $23.25 selling bread. Inez sells gift baskets and makes 100 times as m
    5·2 answers
  • Undersea explorers discover a second sentient race living on Earth. This species is scientifically much more advanced but cannot
    6·1 answer
  • PLEASE HELP
    5·1 answer
  • I NEED HELP NOW MY ASIGNMENT IS DUE BEFORE 8;00 PLZZZ HELP AND PUT A ANSWER THAT HASN'T BEEN USED(05.02)Mr. Morris is going to s
    10·2 answers
  • Solve the expression-7- (-7)
    12·1 answer
  • The ratio of the drummers to guitar players who tried out for a band is 28:14. If there are 84 drummers,how many musicians are t
    11·2 answers
  • Belle walks 7/10 mile each morning, and 1, 4/10 miles each evening.
    12·2 answers
Add answer
Login
Not registered? Fast signup
Signup
Login Signup
Ask question!