1answer.
Ask question
Login Signup
Ask question
All categories
  • English
  • Mathematics
  • Social Studies
  • Business
  • History
  • Health
  • Geography
  • Biology
  • Physics
  • Chemistry
  • Computers and Technology
  • Arts
  • World Languages
  • Spanish
  • French
  • German
  • Advanced Placement (AP)
  • SAT
  • Medicine
  • Law
  • Engineering
padilas [110]
3 years ago
14

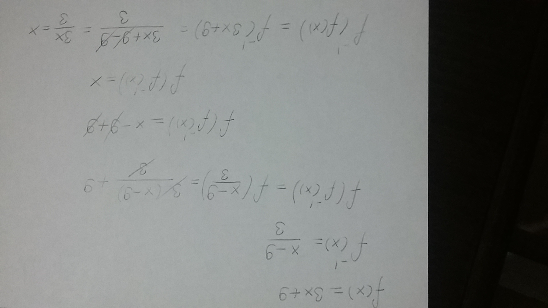
Find the inverse function of f informally.

Mathematics
1 answer:
Gnoma [55]3 years ago
5 0
I hope this helps you

You might be interested in
A bag of potatoes weighs about
ruslelena [56]
Bag of potatoes are usually 10 pounds
5 0
3 years ago
30 POINTS TO ANSWER!!!!!
Ede4ka [16]

Answer:

35

y = -4(-8) +3

y= 35

yea

that is the out put so 35

3 0
3 years ago
Please help me with the answer
liraira [26]

Answer:

-18

Step-by-step explanation:

-15+6=-9

the absolute value of -9 is 9

and 9*-2=-18

5 0
2 years ago
Read 2 more answers
Someone help please! k(-1)=______<br>​
prohojiy [21]

Answer:

<h2>k(-1) = 7</h2>

Step-by-step explanation:

Look at the picture.

8 0
4 years ago
Paul is decorating cupcakes. He can decorate 3/4 of a cupcake per minute. At this rate, how many cupcakes can he decorate in 12
Ivenika [448]

Answer:

3/4 x 12/1 because if you can decorate 3/4 a cupcake per minute, you multiply 3/4 by 12 to find the total amount of cupcakes he could decorate. 3/4 x 12/1 = 9 Paul can decorate 9 cupcakes in 12 minutes.

Step-by-step explanation:

hope tis helps im not good at match but i know this

7 0
2 years ago
Read 2 more answers
Other questions:
  • Trig question that has me baffled. y=½(x-2)²-8
    5·1 answer
  • the diameter of a cicrle is 72.4 millimeters . find the area of this circle in square millimeters. round your answer to the appr
    13·1 answer
  • Find the area of the shaded region in each of the following figure all unit are in cm
    15·1 answer
  • What is 575 estimated to?
    9·2 answers
  • Several students were asked how many blocks they walk from home to school each day. The results are shown in the line plot. How
    15·1 answer
  • Which choice represents the simplified exponential expression?<br> (7^4)^6
    11·2 answers
  • I NEED HELP WITH MY FINALL
    8·2 answers
  • 8a - 36 for a = 7 and b = 1<br> 8a - 3b =
    13·1 answer
  • I need to show my work for this answer. Solve for x
    6·1 answer
  • A triangular prism. The triangular base has a base of 7. 8 centimeters and height of 4 centimeters. The prism has a height of 9
    6·1 answer
Add answer
Login
Not registered? Fast signup
Signup
Login Signup
Ask question!