1answer.
Ask question
Login Signup
Ask question
All categories
  • English
  • Mathematics
  • Social Studies
  • Business
  • History
  • Health
  • Geography
  • Biology
  • Physics
  • Chemistry
  • Computers and Technology
  • Arts
  • World Languages
  • Spanish
  • French
  • German
  • Advanced Placement (AP)
  • SAT
  • Medicine
  • Law
  • Engineering
Tems11 [23]
3 years ago
12

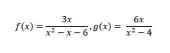
Calculate f(x)/g(x) using f and g from the picture:

Mathematics
1 answer:
Rama09 [41]3 years ago
6 0
F(x) =65 because 3xneeds to be divided by g and 6x aswell
You might be interested in
If you have a 1 in 10 chance of winning, how many times will you need to try to win 1 time
pshichka [43]
Mathematically, 10 times.

Realistically, you can't tell.
5 0
3 years ago
-2 -13.8x = -8 -(6x+1)
Varvara68 [4.7K]
-2 -13.8x = -8 -6x -1
First, I distributed the negative 1 that was outside of the parentheses to the positive 6x and the positive 1.

-2 -13.8x = -9 -6x
Then I added the negative 8 to the negative 1 which equals negative 9.

-2 -13.8x +6x = -9 -6x +6x
After that I used the addition property and added a positive 6x to both sides.

-2 -7.8x = -9
Then simplifying.

+2 -2 -7.8x = -9 +2
After simplifying, I used the addition property again, adding a positive 2 to both sides.

-7.8x = -7
Simplified.

-7.8x (-1) = -7 (-1)
Then I multiplied both sides by with a negative 1 since the variable cannot be a negative.

7.8x = 7
Simplified

(1/7.8) 7.8x = (1/7.8) 7
Then, to isolate the veriable, I multiplied 1/7.8 to both sides.

x = 1.11428571429
The answer !

I hope this helped !
7 0
3 years ago
Can Somebody answer this real fast?
Debora [2.8K]

Answer:

The answer is 6

Step-by-step explanation:

...........

4 0
3 years ago
A) 11 and 12<br> B) 8 and 9<br> C 10 and 11<br> D 76 and 78
Valentin [98]

Answer:

B

Step-by-step explanation:

7 0
3 years ago
Read 2 more answers
N0 If n=143 what is the answer a b or c
den301095 [7]

Answer:

C

Step-by-step explanation:

Well, anything multiplied by zero is zero.

If you multiplied 0 by 143, you wouldn't get anything because you're not multiplying with another number that can be multiplied by.

4 0
3 years ago
Read 2 more answers
Other questions:
  • On a quiz there are four multiple-choice questions worth 3 points each and two true/false questions
    11·2 answers
  • Write numerals for each of the italicized number word names found in these examples. Earth’s moon is (a) two million, one hundre
    10·2 answers
  • An experiment consists of rolling two fair dice and adding the dots on the two sides facing up. using the sample space provided
    7·1 answer
  • Which of these statements correctly compares probeware (such as an electronic temperature probe) to traditional analog tools (su
    14·2 answers
  • The base of a parallelogram is x+4 and the area is 5x+20 what is the height?
    5·1 answer
  • Susan can read 15 pages in 45 minuets. How many pages can she read in 60 minutes
    6·1 answer
  • Differentiate f and find the domain of f.<br> f(x) = x/[1-ln(x-1)]
    6·1 answer
  • Consider the function p(c)=2^c+1 . What is p(3)?
    7·1 answer
  • I remember when I was in 8th grade there was this one girl who was very shy but she was also very pretty and she had really big
    11·2 answers
  • Pls help i wiill give points
    6·1 answer
Add answer
Login
Not registered? Fast signup
Signup
Login Signup
Ask question!