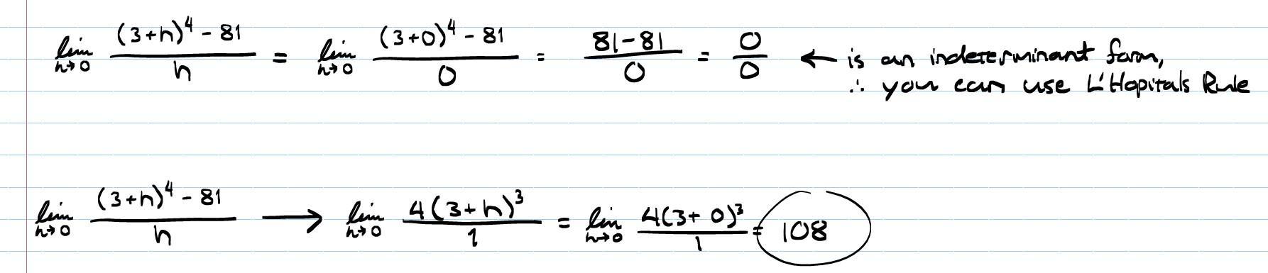
Answer:
D
Step-by-step explanation:
The equation of a parabola in vertex form is
y = a(x - h)² + k
where (h, k) are the coordinates of the vertex and a is a multiplier
here (h, k) = (- 3, - 6), thus
y = a(x + 3)² - 6
To find a substitute (0, 0) into the equation
0 = 9a - 6 ⇒ a =
= 
y =
(x + 3)² - 6 ← in vertex form
Expand (x + 3)² and distribute by 
y =
(x² + 6x + 9) - 6
=
x² + 4x + 6 - 6
=
x² + 4x ← in standard form
Answer:
( I am assuming that these are all fractions)
1. 14 
2. 8
3. 
4. 5 
Step-by-step explanation:
1. First you have to convert 15 into a fraction but it must have the same denominator causing the equation to look like 105/7 - 3/7= 102/7. But you cannot just leave the fraction like that it must be simplified 14 
2. Three-fifths of an hour is 36 minutes. You would next multiply 5 by 60 which would the hours into minutes 5 x 60 = 300. You would then divide 300 by 36 which would give you 8.3333333333, which I just simplified it to 8
3. In order for you to multiply a fraction you would first multiply the top then the bottom. 12 x 6= 72, 15 x 18= 270. The fraction would look like 72/270 which is simplified to
.
4. First I changed the fractions into improper fractions causing the fraction to look like 36/8 x 14/11 (I got these answers by 8 by 4 then adding 4, then for the next fraction I multiplied 11 by 1 then added 3.) 36 x 14= 1224, 11 x 8= 88 the fraction would look like 1,224/88 you would simplify to 5 
Hope this helps
Please tell me if I made any mistakes I enjoy learning from them.
Answer:
49/20 miles or 2.45 miles
Step-by-step explanation:
LCM(1,2,3,4,5,6,)=60
10/60+12/60+15/60+20/60+30/60+60/60=147/60=49/60 or 2.45