1answer.
Ask question
Login Signup
Ask question
All categories
  • English
  • Mathematics
  • Social Studies
  • Business
  • History
  • Health
  • Geography
  • Biology
  • Physics
  • Chemistry
  • Computers and Technology
  • Arts
  • World Languages
  • Spanish
  • French
  • German
  • Advanced Placement (AP)
  • SAT
  • Medicine
  • Law
  • Engineering
BlackZzzverrR [31]
3 years ago
11

Help me plzzzzzzzzzzzzzzzz

Mathematics
1 answer:
Daniel [21]3 years ago
3 0

Answer:

Step-by-step explanation:

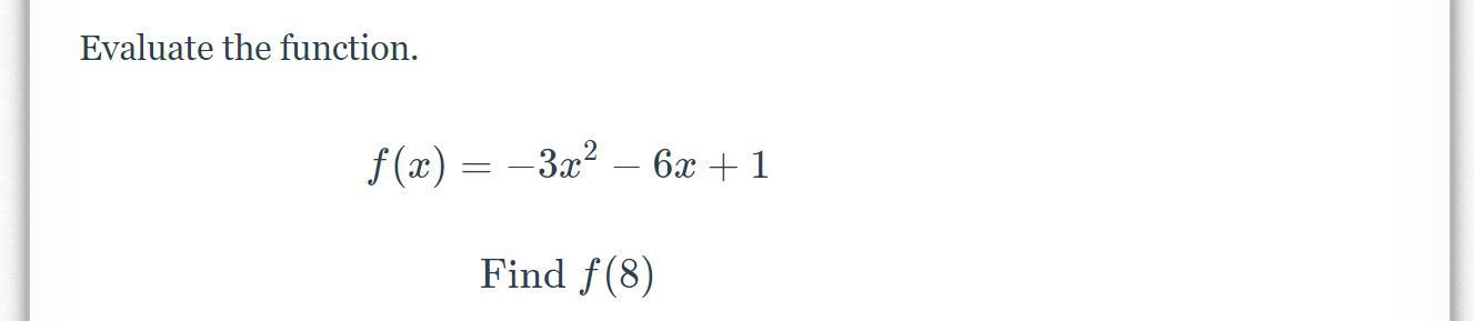
f(8)=-3(8)²-6(8)+1

     =-192-48+1

     = -239

You might be interested in
Write the following integers in a decreasing order. 1. 0,7,-3,9,-132,36​
Elan Coil [88]
ANSWER:
36 > 9 > 7 > 0 > -3 > -132

Hope it helps u!
6 0
3 years ago
Read 2 more answers
Mr. And Mrs ikan deposited $15,000 into college savings accounts with an annual compound interest rate 5.25% when their daughter
m_a_m_a [10]

Answer:

$37,650

Step-by-step explanation:

A=15000(1+0.0525)^18

A=15000(2.51)

A=37650

8 0
3 years ago
18 increased by twice a number​
Charra [1.4K]

Answer:

I am pretty sure that the answer is 18+2n

4 0
3 years ago
Read 2 more answers
Dr black is standing 20 feet from street lamp lamp shadow is 5 feet long angle from top of his shadown to top of light is 30degr
s344n2d4d5 [400]
Then answer would be

90° < 0 < 180°.

hope it helps!
7 0
4 years ago
The hotdog eating champion, ate 13 hot dogs every 2 minutes at the county fair contest. How long did it take him to eat 91 hot d
deff fn [24]

They ate 13 hot dogs in 2 minutes, so divide 13 by 2 to find out how many hot dogs he ate in 1 minute:

13 / 2 = 6.5 hot dogs per minute.

Now divide total hot dogs eaten by 6.5 to get the total time:

91 / 6.5 = 14 total minutes.

5 0
3 years ago
Read 2 more answers
Other questions:
  • Question is 15 points
    7·2 answers
  • Local newspaper company wanted to determine if there is a need for a digital version of their newspaper. They sampled 80 of thei
    7·1 answer
  • What is the product?<br> (7x) (2x+5)(x2-4x-9)
    6·1 answer
  • What is true about the radius and diameter of the circle whose diameter is 50 mm ?
    14·1 answer
  • Which measurement is not equivalent to the others 6,000 mg, 6 g, 60 kg, 0.006 kg
    5·1 answer
  • 100 aluminum cans weigh 5 pounds, If Ray collects 300 cans on clean up day, how many pounds of cants does he have?
    5·2 answers
  • The sum of two numbers, one is as large as the other is 24. Find two numbers
    9·1 answer
  • Which statements are true about the graph of f(x)=sec(x) ?<br><br> Select each correct answer.
    7·2 answers
  • I’ll give brainliest pls<br> i need to finish this quickly, i need part a b and c
    15·1 answer
  • Order these list of decimals from smallest to largest: -5.3 -1.36 -4 2.25 0.1
    8·1 answer
Add answer
Login
Not registered? Fast signup
Signup
Login Signup
Ask question!